EasyManua.ls Logo

MACROMEDIA FLASH 8-USING FLASH - Applying Custom Ease In;Ease out to Motion Tweens (Flash Professional Only)

MACROMEDIA FLASH 8-USING FLASH
678 pages
Print Icon
To Next Page IconTo Next Page
To Next Page IconTo Next Page
To Previous Page IconTo Previous Page
To Previous Page IconTo Previous Page
Loading...
258 Creating Motion
To link layers to a motion guide layer, do one of the following:
Drag an existing layer below the motion guide layer. The layer is indented under the
motion guide layer. All objects on this layer automatically snap to the motion path.
Create a new layer under the motion guide layer. Objects you tween on this layer are
automatically tweened along the motion path.
Select a layer below a motion guide layer. Select Modify > Timeline > Layer Properties and
select Guided in the Layer Properties dialog box.
To unlink layers from a motion guide layer:
1. Select the layer you want to unlink.
2. Do one of the following:
Drag the layer above the motion guide layer.
Select Modify > Timeline > Layer Properties and select Normal as the layer type in the
Layer Properties dialog box.
Applying custom ease in/ease out to
motion tweens (Flash Professional only)
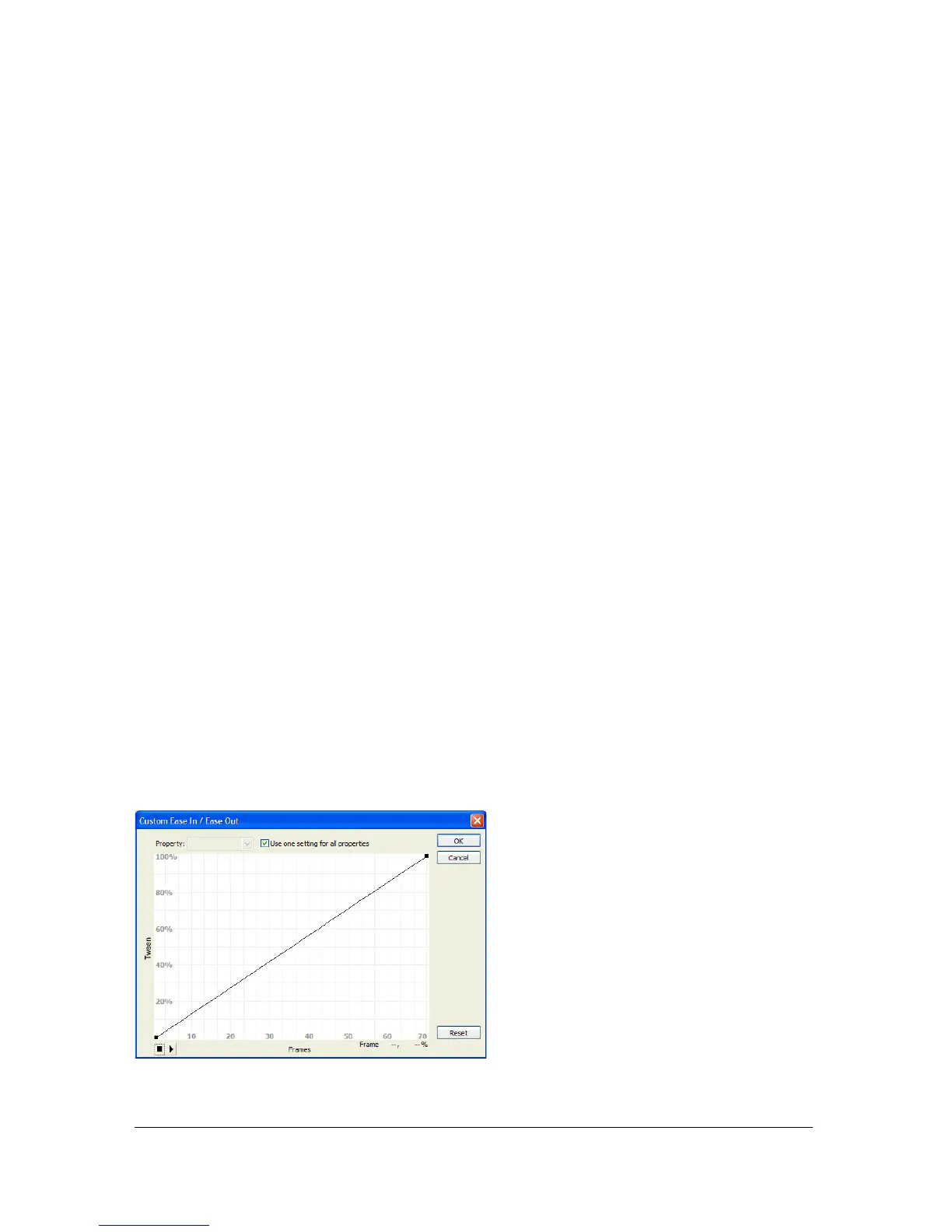
The Custom Ease In/Ease Out dialog box displays a graph representing the degree of motion
over time. Frames are represented by the horizontal axis, and the percentage of change is
represented by the vertical axis. The first keyframe is represented as 0%, and the last keyframe
is represented as 100%.
The rate of change of the object is represented by the slope of the graphs curve. When the
curve is horizontal (no slope), the velocity is zero; when the curve is vertical, there is an
instantaneous rate of change.

Table of Contents

Related product manuals