EasyManua.ls Logo

Mazda 6 Facelift 2005 - Page 33

Mazda 6 Facelift 2005
274 pages
Print Icon
To Next Page IconTo Next Page
To Next Page IconTo Next Page
To Previous Page IconTo Previous Page
To Previous Page IconTo Previous Page
Loading...
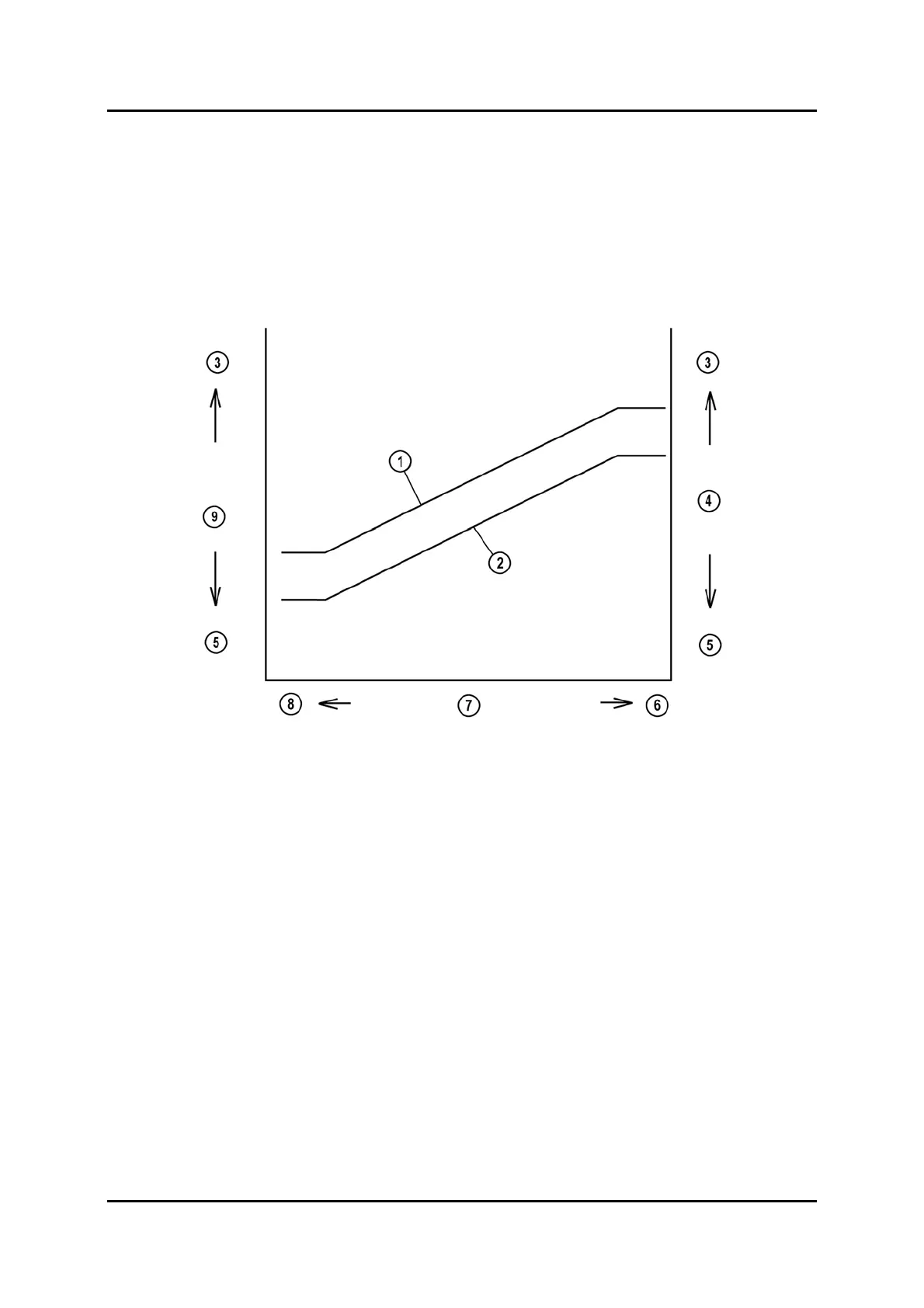
Engine Petrol Engines
The main sensor outputs a duty signal, and the sub sensor outputs a voltage signal.
Even if a malfunction occurs in either one of the sensors, the detection is performed and
drive-by-wire control is maintained.
If both the main and the sub sensor for the APP sensor fail, the signals necessary for the
drive-by-wire control are not input to the PCM and the drive-by-wire control is disabled.
However, even though the drive-by-wire control is disabled, the throttle valve opening
angle necessary for minimum driving is maintained mechanically.
M6FL_01017
1 Main sensor (duty) 6 Large
2 Sub sensor (voltage) 7 Accelerator pedal depression amount
3 High 8 Small
4 Duty cycle 9 Output voltage
5 Low
Service Training Mazda6 Facelift 01-19

Table of Contents

Related product manuals