EasyManua.ls Logo

Mega Technopool pH-Rx - Manuelle Aktivierung der Pumpen und des Magnetventils

Mega Technopool pH-Rx
64 pages
Print Icon
To Next Page IconTo Next Page
To Next Page IconTo Next Page
To Previous Page IconTo Previous Page
To Previous Page IconTo Previous Page
Loading...
TECHNOPOOL3 MENÜ TECHNOPOOL3
Dosieranlage für Schwimmbecken DEUTSCH
ADSP7000716 rev. 1.0 25/01/2017 32/64
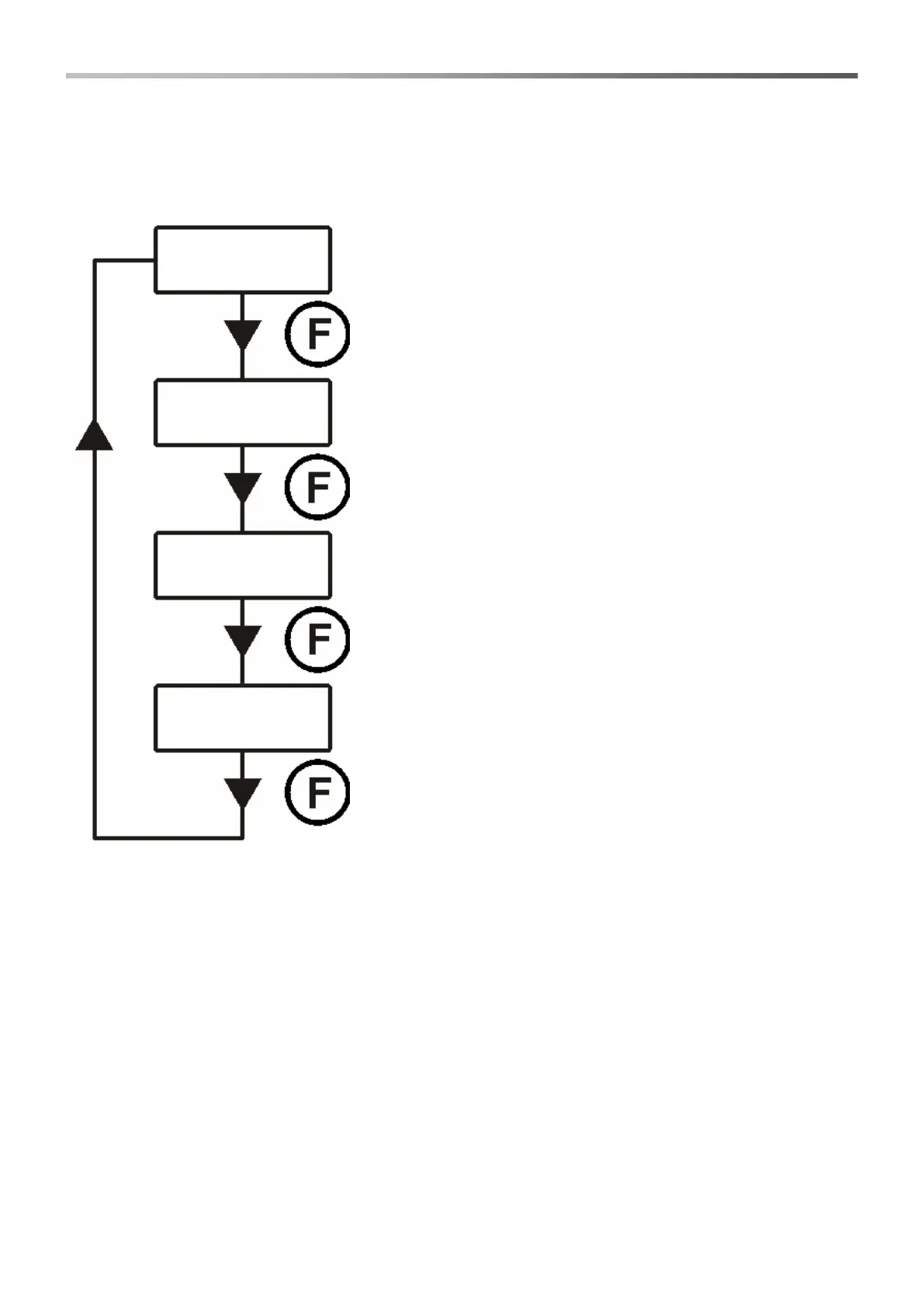
3.1.1 Manuelle Aktivierung der Pumpen und des Magnetventils
Vom Menü Benutzer kann auf das Untermenü der Ansaugung zugegriffen werden, das den manuellen Betrieb der
Pumpen und des Magnetventils ermöglicht.
Für den Zugriff auf dieses Menü, die Taste F für drei Sekunden gedrückt halten und das Display zeigt an:
pH-Korrektor
Mit den Tasten ▼▲wird der zu dosierende Wert manuell eingestellt,
anschließend mit der Taste Enter bestätigt und die Dosierung der pH-
Pumpe aktiviert.
Um die Pumpe vorher zu stoppen, erneut die Taste Enter auf dem
Bildschirm des pH-Korrektors drücken.
Die einstellbare Dosierung ist 0÷999 ml oder 1,0÷9,9 Liter.
Rx-Korrektor
Mit den Tasten ▼▲wird der zu dosierende Wert manuell eingestellt,
anschließend mit der Taste Enter bestätigt und die Dosierung der Rx-
Pumpe aktiviert.
Um die Pumpe vorher zu stoppen, erneut die Taste Enter auf dem
Bildschirm des Rx-Korrektors drücken.
Die einstellbare Dosierung ist 0÷999 ml oder 1,0÷9,9 Liter.
Magnetventil
Mit den Tasten ▼▲wird die Öffnungszeit des Magnetventils manuell
eingestellt, anschließend mit der Taste Enter bestätigt und die Öffnung
des Magnetventils aktiviert.
Um das Magnetventil vorher zu schließen, erneut die Taste Enter auf
dem Bildschirm des Magnetventils drücken.
Die einstellbare Zeit beträgt 0÷50 Sekunden (bei Schritten 10
Sekunden) oder 1÷60 Minuten (bei Schritten von 1 Minute).
Temperatur (wird nur angezeigt, wenn die Temperatur nicht auf
OFF eingestellt ist)
Mit den Tasten ▼▲ wird die gewünschte Temperatur eingestellt, nur,
wenn die Temperatur manuell eingestellt wurde.
Die einstellbare Temperatur beträgt 0÷100° C.
Um das Menü der Ansaugung zu verlassen, die Taste F drei Sekunden
gedrückt halten oder es nach einer Minute automatisch verlassen, ohne
eine beliebige Taste zu drücken.
pH-Korrektor
0 ml
Rx-Korrektor
0 ml
Magnetventil
0 s.
Temperatur
0…100/PT100

Table of Contents