EasyManua.ls Logo

Physio Control LIFEPAK 9 - Page 78

Physio Control LIFEPAK 9
214 pages
Print Icon
To Next Page IconTo Next Page
To Next Page IconTo Next Page
To Previous Page IconTo Previous Page
To Previous Page IconTo Previous Page
Loading...
Testing
3
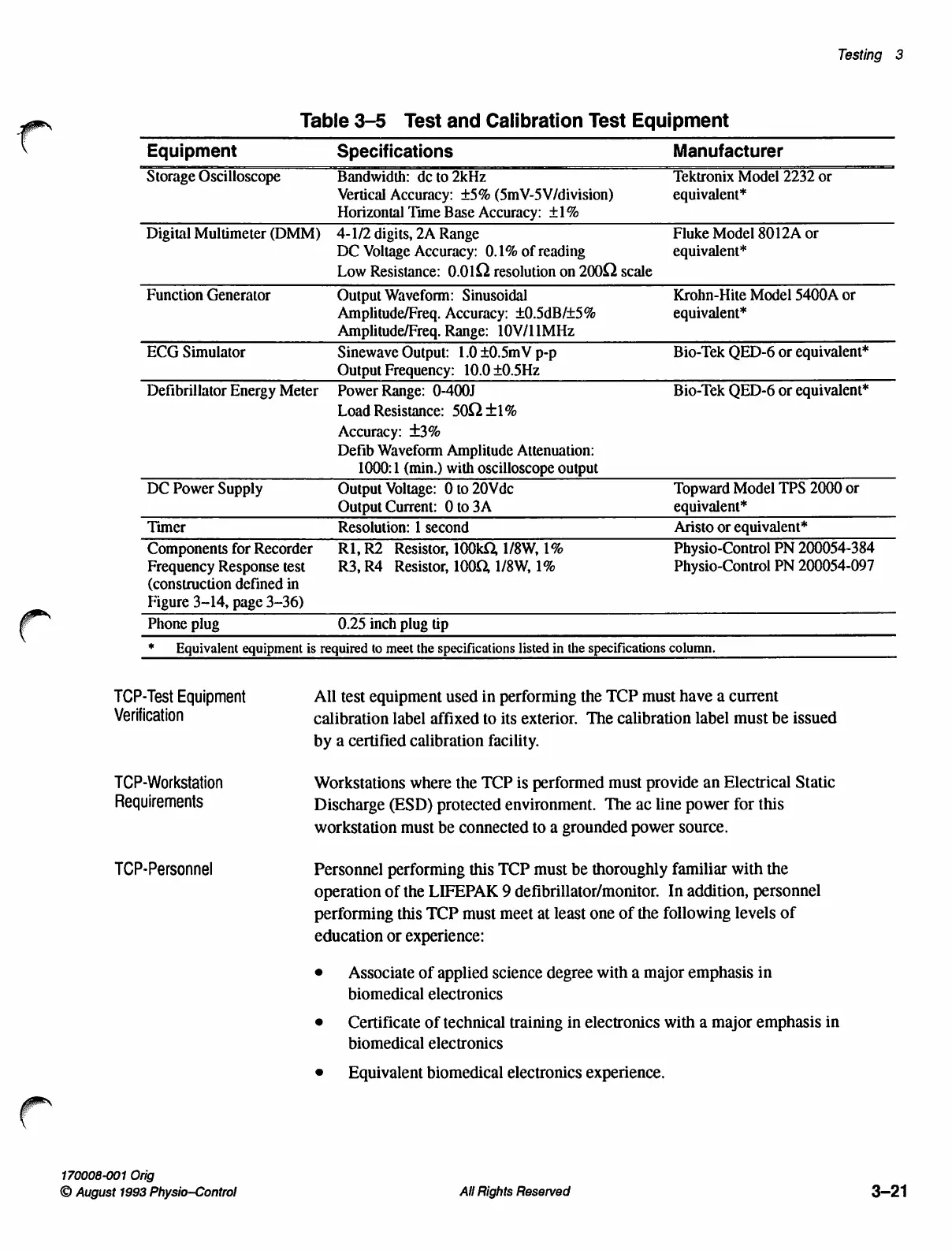
Table
3-5
Test
and
Calibration
Test
Equipment
Equipment
Specifications
Manufacturer
Storage
Oscilloscope
Bandwidth:
dc
to
2kHz
Tektronix
Model
2232
or
Vertical
Accuracy:
+5%
(SmV-5V/division)
equivalent*
Horizontal
Time
Base
Accuracy:
+1%
Digital
Multimeter
(DMM)
4-1/2
digits,
2A
Range
Fluke
Model
8012A
or
DC
Voltage
Accuracy:
0.1%
of
reading
equivalent*
Low
Resistance:
0.01Q2
resolution
on
200Q
scale
Function
Generator
Output
Waveform:
Sinusoidal
Krohn-Hite
Model
5400A
or
Amplitude/Freq.
Accuracy:
+0.5dB/+5%
equivalent*
Amplitude/Freq.
Range:
10V/11MHz
ECG
Simulator
Sinewave
Output:
1.0
+0.5mV
p-p
Bio-Tek
QED-6
or
equivalent*
Defibrillator
Energy
Mete
r
Output
Frequency:
10.0
+0.5Hz
Power
Range:
0-400J
Load
Resistance:
5002
+1%
Accuracy:
+3%
Defib
Waveform
Amplitude
Attenuation:
1000:1
(min.)
with
oscilloscope
output
Bio-Tek
QED-6
or
equivalent*
DC
Power
Supply
Output
Voltage:
0
to
20Vdc
Topward
Model
TPS
2000
or
Output
Current:
0
to
3A
equivalent*
Timer
Resolution:
1
second
Aristo
or
equivalent*
Components
for
Recorder
R1,R2
Resistor,
100kQ,
1/8W,
1%
Physio-Control
PN
200054-384
Freguency
Response
test
R3,R4
Resistor,
100Q,
1/8W,
1%
Physio-Control
PN
200054-097
(construction
defined
in
Figure
3-14,
page
3-36)
Phone
plug
0.25
inch
plug
tip
*
Equivalent
equipment
is
required
to
meet
the
specifications
listed
in
the
specifications
column.
TCP-Test
Equipment
Verification
TCP-Workstation
Requirements
TCP-Personnel
170008-001
Orig
©
August
1993
Physio-Control
All
test
equipment
used
in
performing
the
TCP
must
have
a
current
calibration
label
affixed
to
its
exterior.
The
calibration
label
must
be
issued
by
a
certified
calibration
facility.
Workstations
where
the
TCP
is
performed
must
provide
an
Electrical
Static
Discharge
(ESD)
protected
environment.
The
ac
line
power
for
this
workstation
must
be
connected
to
a
grounded
power
source.
Personnel
performing
this
TCP
must
be
thoroughly
familiar
with
the
operation
of
the
LIFEPAK
9
defibrillator/monitor.
In
addition,
personnel
performing
this
TCP
must meet
at
least
one
of
the
following
levels
of
education
or
experience:
Associate
of
applied
science
degree
with
a
major
emphasis
in
biomedical
electronics
Certificate
of
technical
training
in
electronics
with
a
major
emphasis
in
biomedical
electronics
Equivalent
biomedical
electronics
experience.
All
Rights
Reserved
3-21

Table of Contents

Other manuals for Physio Control LIFEPAK 9

Related product manuals