EasyManua.ls Logo

ProMinent S3Cb - Page 49

ProMinent S3Cb
124 pages
Print Icon
To Next Page IconTo Next Page
To Next Page IconTo Next Page
To Previous Page IconTo Previous Page
To Previous Page IconTo Previous Page
Loading...
The secondary display "Signal current" indicates the incoming current.
You can select 5 types of current signal processing:
n
‘0 - 20 mA’
n
‘4 - 20 mA’
n
‘Linear curve ’
n
‘Lower side band’
n
‘Upper side band’
‘0 - 20 mA’
At 0 mA the pump is stationary –
At 20 mA the pump works at maximum stroke rate.
‘4 - 20 mA’
At 4 mA the pump is stationary –
At 20 mA the pump works at maximum stroke rate.
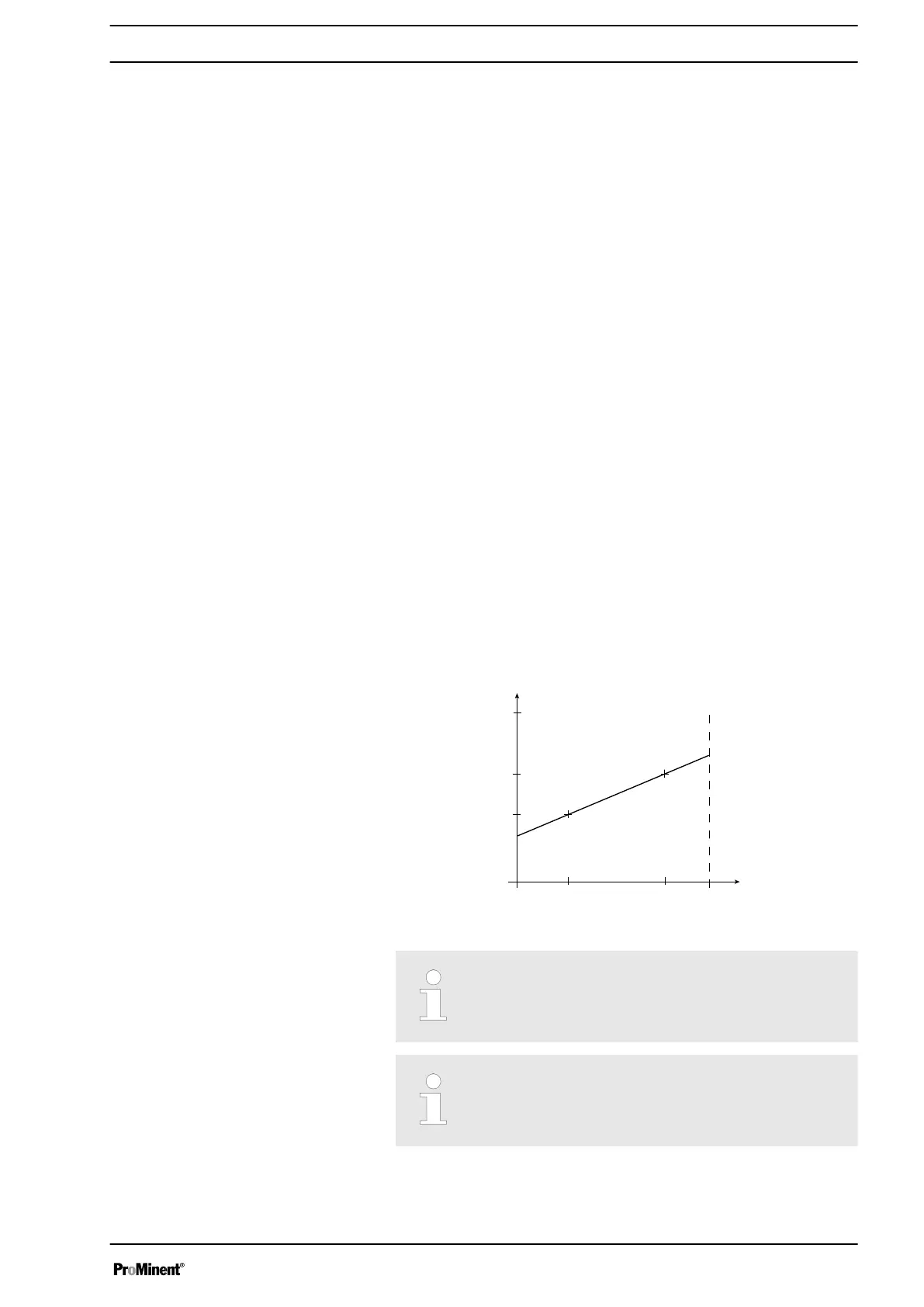
Curve
‘Linear curve’
The symbol "Linear curve" appears on the LCD screen. You can enter any
pump stroke rate behaviour proportional to the current signal. You can
enter the curve points I and F in the
‘Curve points’
menu. You define a
straight line here and thus the behaviour:
I [mA]
I 1
I 2
F1
F2
Fmax
0 20
P1
P2
B0088
Fig. 33: Frequency-current diagram for "Linear curve"
Plot a diagram similar to the one above – with values for
(I1, F1) and (I2, F2) – so that you can set the pump as
desired!
The smallest processable difference between I1 and I2
is 4 mA (ll I1-I2 ll ≥4 mA).
‘Lower side band’
‘Standard’
‘Extended’
Set up /
‘Menu’
49

Table of Contents

Related product manuals