EasyManua.ls Logo

Tuttnauer 6671130 - Page 73

Tuttnauer 6671130
143 pages
Print Icon
To Next Page IconTo Next Page
To Next Page IconTo Next Page
To Previous Page IconTo Previous Page
To Previous Page IconTo Previous Page
Loading...
MAN205-0195042EN Rev. A Aug. 2011
Page 67 of 137 pages
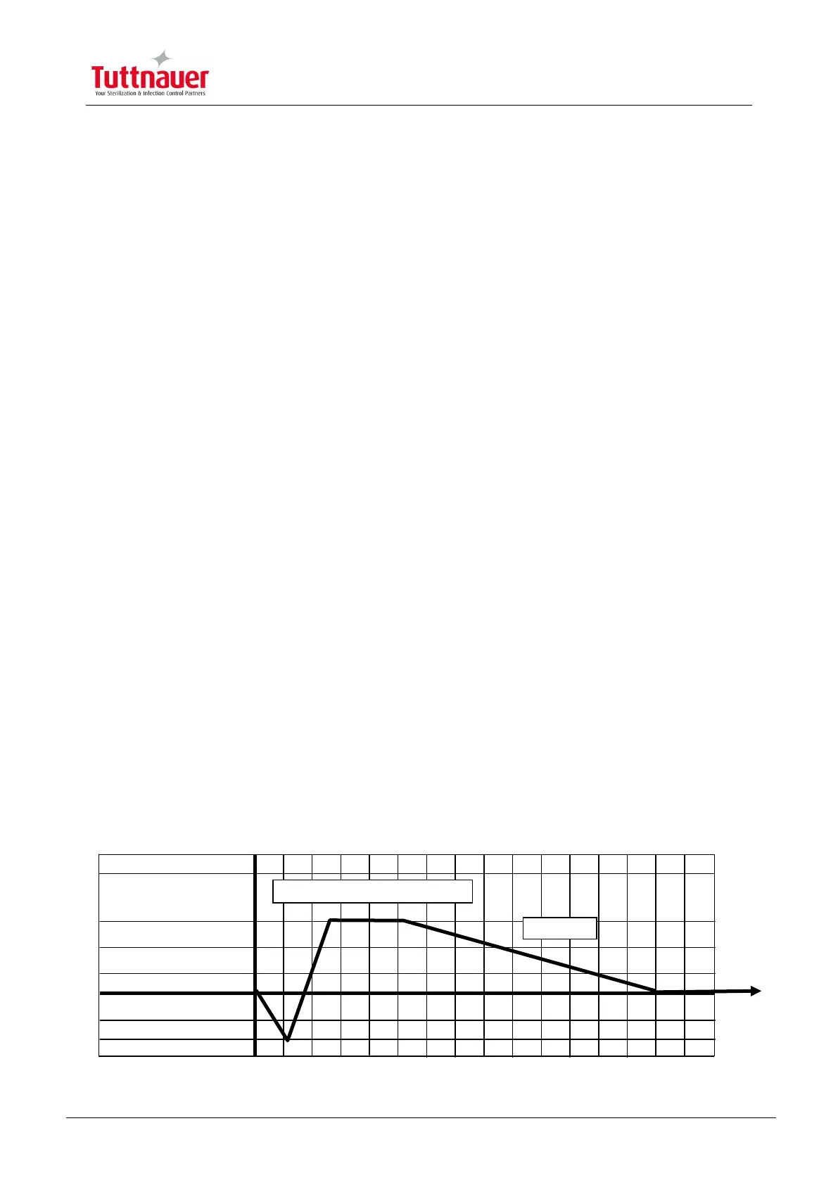
Program 8, 9, 10 Slow Exhaust 121ºC (Process Sample)
These program are intended for the sterilization of liquids which require a slow pressure
exhaust which comply with their manufacturers declares their compliance to be sterilized
in the following conditions:
Sterilization temperature 121ºC
Sterilization time 15 minutes (30 minutes for program 10)
Slow discharge of the pressure.
Performance Description:
Residual air is displaced by 1 vacuum pulse (down to 25 kPa). The vacuum pulse is
followed by the introduction of saturated (controlled) steam into the chamber to the
required sterilization temperature.
Sterilization period is controlled in a way that the sterilization temperature will not drop
below the required temperature, neither will it increase by more than 3ºC. The saturated
steam conditions are controlled in such a way that the fluctuation of pressure does not
allow a drop below 1 kPa, nor an increase of 3 kPa above the high limit of the Ste.
Temperature.
Slow exhaust is performed by discharging the pressure very slowly from the chamber.
Pressure equilibration enables the opening of the door. Air is introduced into the
chamber through a microbiological filter until equilibrium is reached with atmospheric
pressure.
Note:
The temperature of the chamber must be below the end sterilization temperature
in the range of 60ºC - 100ºC, and the pressure must be below 115 kPa to enable
the door to be opened.
Important:
Because of the difficulty to standardize the liquid cycle load, this cycle is
not intended for sterilization of materials that come into contact with
patients, and should be used for non-clinical applications only.
Program 8, 9, 10 Slow Exhaust 121ºC (Process Sample)
0 kPa
25 kPa
50 kPa
100 kPa
104°C/ ~115 kPa
134°C/ ~305 kPa
160 kPa
121°C/ ~205 kPa
121°C 15 min (30 min for Prog. 10)
Ex Mode 4

Table of Contents