EasyManua.ls Logo

Vaisala BAROCAP PTB330 - Appendix B Unit Conversion Tables; Pressure Unit Conversions

Vaisala BAROCAP PTB330
144 pages
To Next Page IconTo Next Page
To Next Page IconTo Next Page
To Previous Page IconTo Previous Page
To Previous Page IconTo Previous Page
Loading...
Appendix A ______________________________________________________ Calculation Formulas
VAISALA______________________________________________________________________ 133
APPENDIX A
CALCULATION FORMULAS
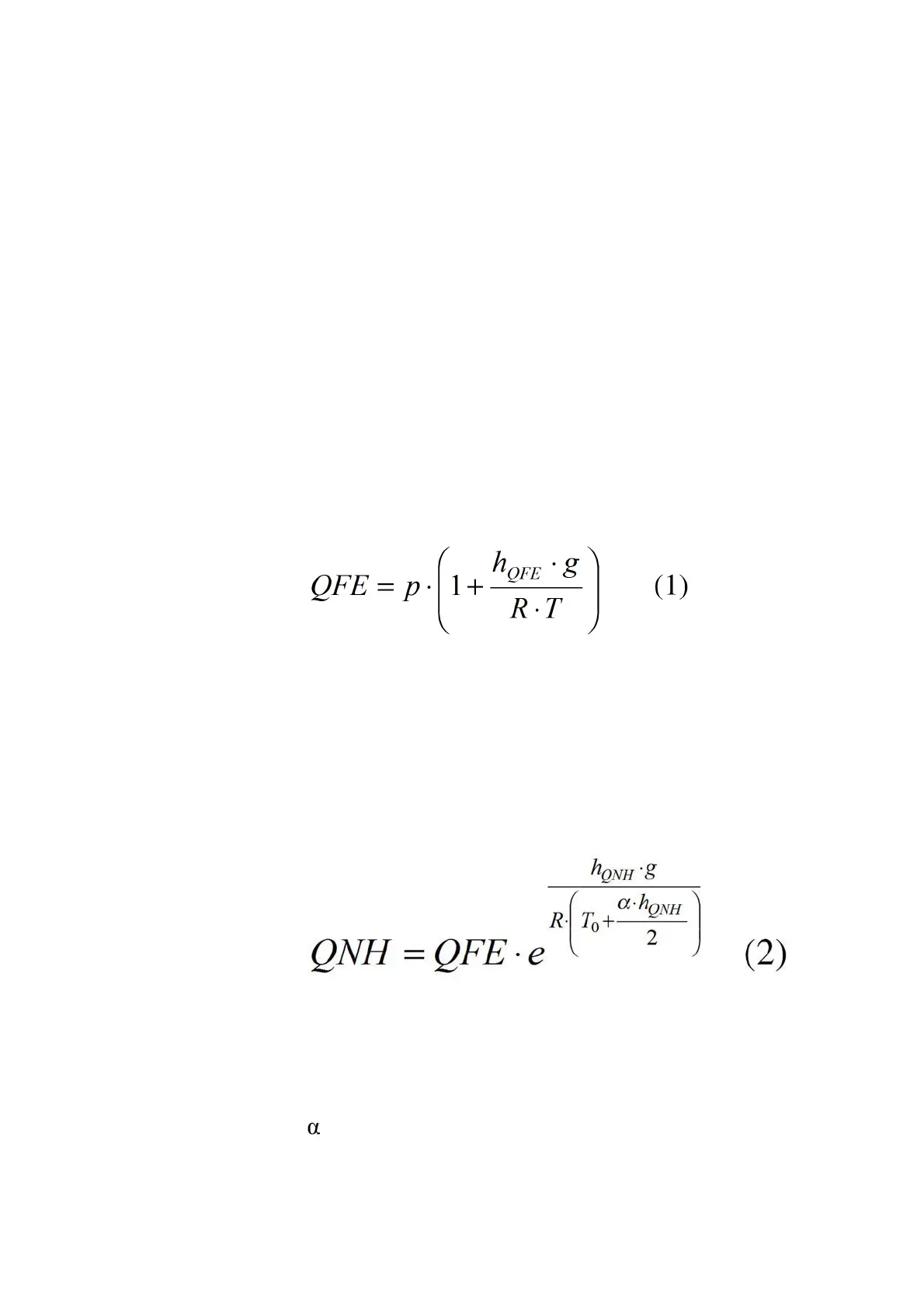
This appendix contains the calculation formulas used by the product.
Height compensated pressure values (QFE, QNH, and HCP) are
calculated using the following equations:
where:
p = measured air pressure [hPa]
h
QFE
= height difference between the barometer and reference
level [m]
g = 9.81 [m/s2]
R = 287 [J/kg/K]
T = temperature [K]
where:
H
QNH
= station elevation [m]
g = 9.81 [m/s
2
]
R = 287 [J/kg/K]
T = 288.15 [K]
= -0.0065 [K/m]

Table of Contents

Related product manuals