EasyManua.ls Logo

Zapi ACE0 2mC - Braking Time

Zapi ACE0 2mC
155 pages
Print Icon
To Next Page IconTo Next Page
To Next Page IconTo Next Page
To Previous Page IconTo Previous Page
To Previous Page IconTo Previous Page
Loading...
AF6ZP0CA – COMBIAC0 & ACE0 2uC – User Manual Page – 89/155
Acceleration time.
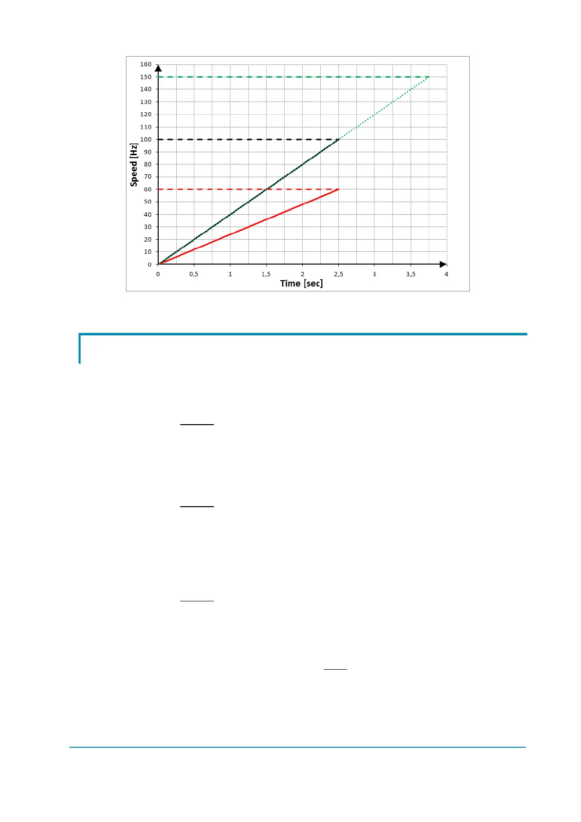
9.5 Braking time
The DECEL. BRAKING parameter allows to define the deceleration rate
depending on the final-speed setpoint. Deceleration time is evaluated differently
by software for speed steps greater or smaller than 100 Hz.
Case 1
(black trace in the graph):
Initial speed = 110 Hz
Final-speed setpoint = 10 Hz
DECEL. BRAKING = 2.5 s
The deceleration time results 2.5 s.
Case 2
(red trace in the graph):
Initial speed = 60 Hz
Final-speed setpoint = 10 Hz
DECEL. BRAKING = 2.5 s
The deceleration rate is re-scaled so that the deceleration time results
equal to DECEL. BRAKING, in this case 2.5 s.
Case 3
(green trace in the graph):
Initial speed = 150 Hz
Final-speed setpoint = 10 Hz
DECEL. BRAKING = 2.5 s
The deceleration time results:
Deceltime
󰇟
sec
󰇠


DecelBraking 3,75sec

Table of Contents

Related product manuals