EasyManua.ls Logo

Adobe PREMIERE PRO 2 - To Adjust Bezier Handles; To Fine-Tune the Speed of an Effect

Adobe PREMIERE PRO 2
448 pages
Print Icon
To Next Page IconTo Next Page
To Next Page IconTo Next Page
To Previous Page IconTo Previous Page
To Previous Page IconTo Previous Page
Loading...
ADOBE PREMIERE PRO 2.0
User Guide
244
3 To manually change a keyframe from one type to another, do one of the following:
If the keyframe uses Linear interpolation, Ctrl-click the keyframe in the Timeline panel or Ctrl-click the keyframe
marker in the Effect Controls panel to change it to Auto Bezier. If you drag the handles, the keyframe changes to
Continuous Bezier.
If the keyframe uses Auto Bezier interpolation, Ctrl-click the keyframe and drag out a direction handle to change
it to Bezier. Bezier interpolation lets you control each direction handle independently. To convert it to Continuous
Bezier, just drag a handle.
IfthekeyframeusesBezier,ContinuousBezier,orAutoBezier,Ctrl-clickthekeyframetochangeittoLinear.The
Bezier handles disappear.
See also
About interpolation” on page 242
“To view keyframes in the Effect Controls panel” on page 231
“To view keyframes and properties in the Timeline panel” on page 233
To adjust Bezier handles
1 Display the Bezier keyframe you want to adjust.
2 Select either the Selection tool or the Pen tool , and do one of the following:
To adjust the slope of the curve, drag the Bezier handle up or down. Moving the handle up accelerates the changes
and moving the handle down decelerates the changes.
To adjust the range of the curves influence, drag the Bezier handle to the left or right.
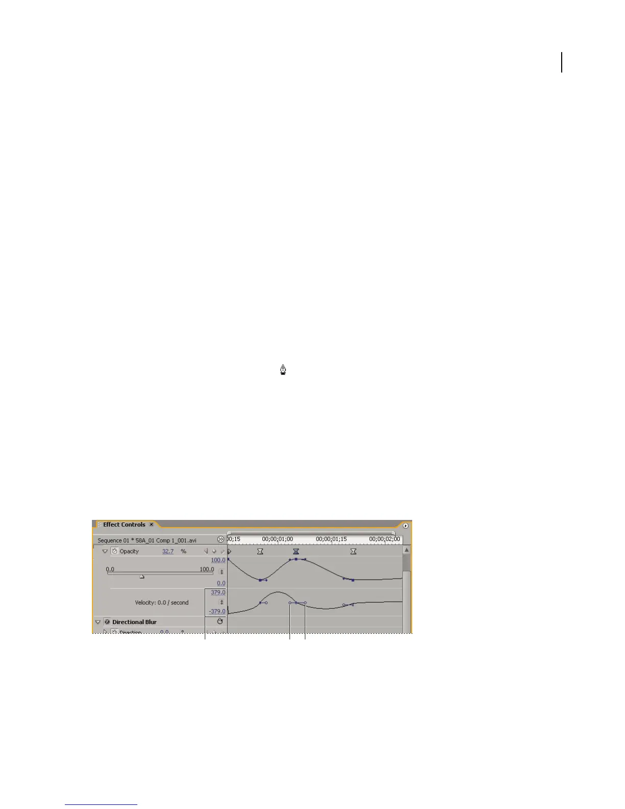
To fine-tune the speed of an effect
In the Effect Controls panel, you can use the Velocity graph to adjust motion or the rate of change for a value just
before and just after a keyframe. Such adjustments can simulate real-world motion. For example, you can change the
motion of a clip so that it slows down just before a keyframe and then speeds up just after the keyframe. You can
control the values approaching and leaving a keyframe together, or you can control each value separately.
Velocity graph
A. Speed controls B. Incoming direction handles C. Outgoing direction handles
1 In the Effect Controls panel, click the triangle to expand the effect property with keyframes that you want to
adjust.
Note: If no keyframes have been added, the graphs appear as flat lines.
B A C

Table of Contents

Related product manuals