EasyManua.ls Logo

BERTHOLD TECHNOLOGIES LB 444 - Measurements of Suspensions; Figure 29: Density of Suspensions

Default Icon
127 pages
Print Icon
To Next Page IconTo Next Page
To Next Page IconTo Next Page
To Previous Page IconTo Previous Page
To Previous Page IconTo Previous Page
Loading...
04/03 347 LB 444
65
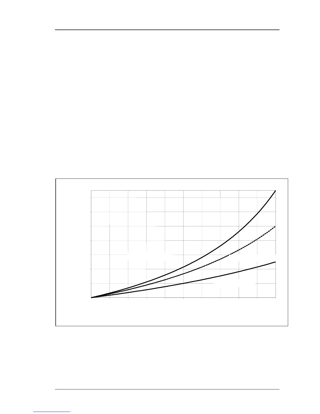
8.4 Measurements of Suspensions
Clear correlation of density and concentration is possible only when
liquid density and
solid density
are constant.
Density or concentration measurements of suspensions can be carried out in these units:
a) Density in g/cm
3
b) Concentration in g/l
c) Concentration in weight-%
d) °Be
Data input, calibration and display are carried out in the selected unit of measure. For
calculation of the calibration curve, the values entered under b) through d) will be con-
verted into g/cm
3
.
Through conversion, a correct characteristic line can be obtained for suspensions already
with one or two calibration points.
Values with the units b) to d) are internally converted into g/cm3 in order to obtain the
curvature of the characteristic curve.
Figure 29: Density of suspensions
1.0000
1.2000
1.4000
1.6000
1.8000
2.0000
2.2000
2.4000
0
10
20
30
40
50
60
70
80
90
100
Concentration in weight %
Density in g/cm³
Solid density = 2.5
Solid density = 2.0
Solid density = 1.5

Table of Contents

Related product manuals