EasyManua.ls Logo

BIFFI IMVS2000v2 - Page 32

BIFFI IMVS2000v2
110 pages
Print Icon
To Next Page IconTo Next Page
To Next Page IconTo Next Page
To Previous Page IconTo Previous Page
To Previous Page IconTo Previous Page
Loading...
September 2019
Installation, Operation and Maintenance Manual
MAN720_IMVS2000v2_IOM Rev. 6
MAN720_IMVS2000v2_IOM Rev. 6
Section 5: Working Principle
Working Principle
If a problem is verified during the SOV A TEST execution:
- “PST St.” assumes the value “Failed
- “M. PST Date” and “M. PST Time” assume the current date and time values
- The PSA Alarm is activated
- The DO PST PASSED contact is opened
- The DO PST FAILED contact is closed
- A new graph is stored (the Status is “Failed”)
If the SOV A TEST is successfully executed:
- “PST St.” assumes the value “Passed”
- “M. PST Date” and “M. PST Time” assume the current date and time values
- The PSA Alarm is cleared
- The DO PST PASSED contact is closed
- The DO PST FAILED contact is opened
- A new graph is stored (the Status is “Passed”)
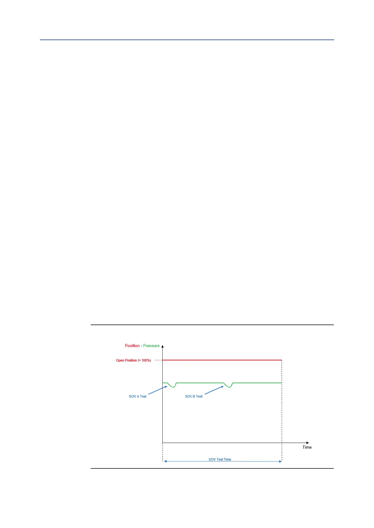
5.1.8.4 SOV A and SOV B TEST Details
Available from Logic Card FW Rev. 1.00.01.
The figure below shows an example of SOVs TEST on SOV A and SOV B on a system of two SOVs in
series (see for example Configuration C on paragraph 9.2.3).
This kind of test is performed in case of the following settings (see Section 5.1.6):
Act. Mode” = “Single” or “Double-S”
“SOVs Qty” = “Series
“PST Ser. SOVs = “Both
“Pr. S. 1-2” ≠ “None”
“PST En. = “No”
“PST Pos %” = 0.0%
“PST Pres. %” = 0%
“PST Time %” = 0%
Al. PSA En. ≠ “No
Al. PSB En. ≠ “No”
Figure 11
28

Table of Contents

Related product manuals