EasyManua.ls Logo

BIFFI IMVS2000v2 - Closing FST Details

BIFFI IMVS2000v2
110 pages
Print Icon
To Next Page IconTo Next Page
To Next Page IconTo Next Page
To Previous Page IconTo Previous Page
To Previous Page IconTo Previous Page
Loading...
September 2019
Installation, Operation and Maintenance Manual
MAN720_IMVS2000v2_IOM Rev. 6
MAN720_IMVS2000v2_IOM Rev. 6
Section 5: Working Principle
Working Principle
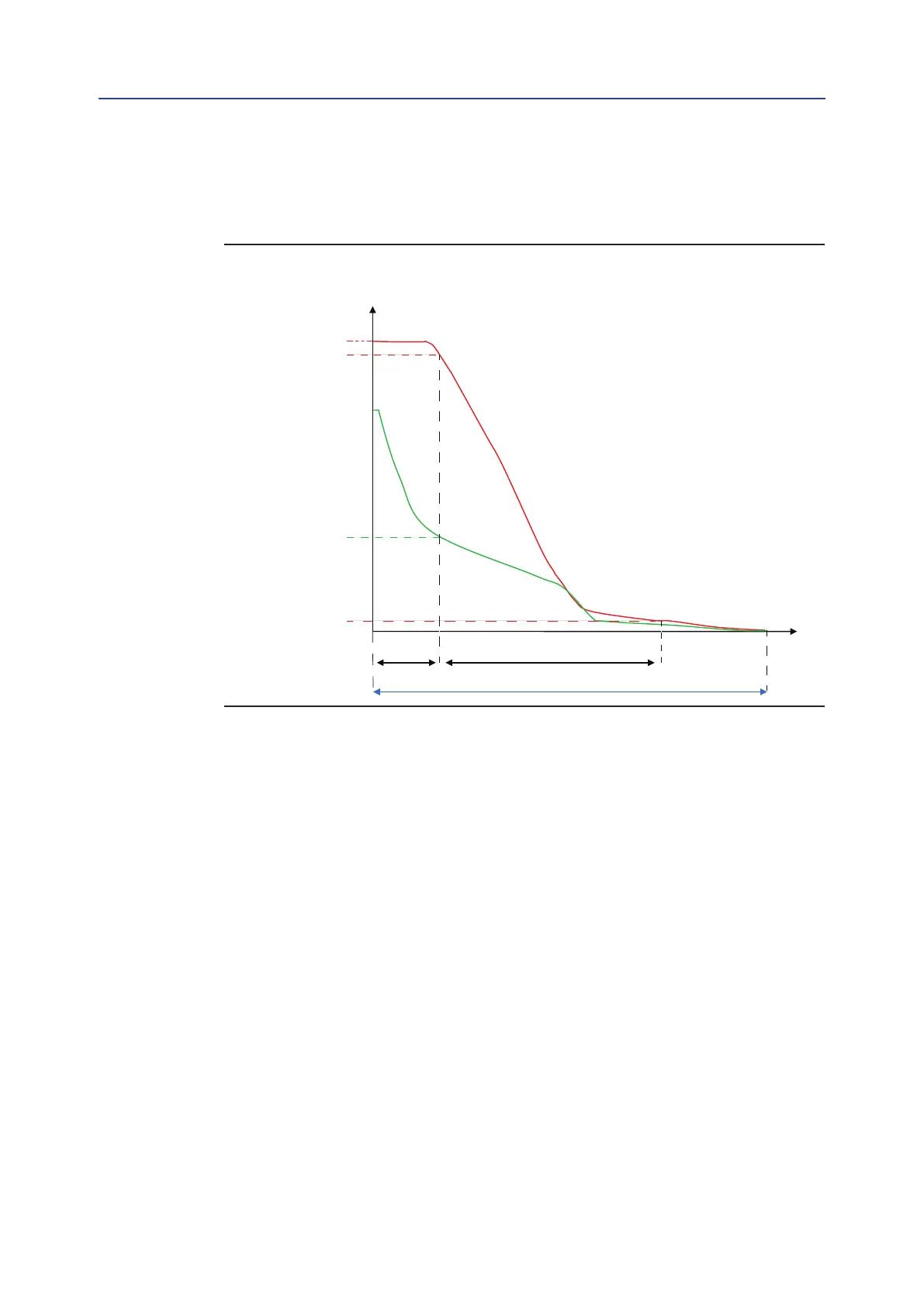
5.1.6 Closing FST Details
The figure below shows an example of Closing FST.
Figure 4
Closing
Break Time
Closing
Travel Time
Position - Pressure
Time
Open Position ( 100%)
100% - “Op. Br. Pos.”
Closing Break Pressure
“Cl. Br. Pos.”
Closing Maximum Time
The position is expressed as % of the Open Position (100% = Open Position, 0% = Closed Position).
The Closing Maximum Time is the total time of the Closing FST Graph. It is automatically calculated
by the IMVS2000v2 (set equal to the Calculated Closing Time).
See Section 5.2.8 for details.
For the Double Acting actuator, the Closing Break Pressure is expressed as the absolute value of the
difference between the Pressure 1 (pressure sensor S1) and the Pressure 2 (pressure sensor S2).
Considering that “Op. Br. Pos” and “Cl.Br. Pos” are fixed to 3%.
Closing Break Time = time to go from Open Position to 97%
Closing Break Pressure = pressure measured at 97%
Closing Travel Time = time to go from 97% to 3%
If the starting position is not higher than 97% the Closing Break Time, the Closing Travel Time and the
Closing Break Pressure are set to 0. If at the end of the Closing FST the position is higher than 3%, the Closing
Travel Time is set to 0. The CLCT alarm, if enabled, is generated (see Sections 5.2.7 and 8 for details).
The Closing Break Time, the Closing Travel Time and the Closing Break Pressure of the Closing FST of the
Baseline Signature are compared to the ones of the last Closing FST and if they do not respect the set
tolerances, dedicated alarms can be activated (see Sections 5.2.7 and 8 for details).
20

Table of Contents

Related product manuals