EasyManua.ls Logo

CPS SCA Series - Page 162

Default Icon
164 pages
Print Icon
To Next Page IconTo Next Page
To Next Page IconTo Next Page
To Previous Page IconTo Previous Page
To Previous Page IconTo Previous Page
Loading...
154
20%
40%
60%
80%
100%
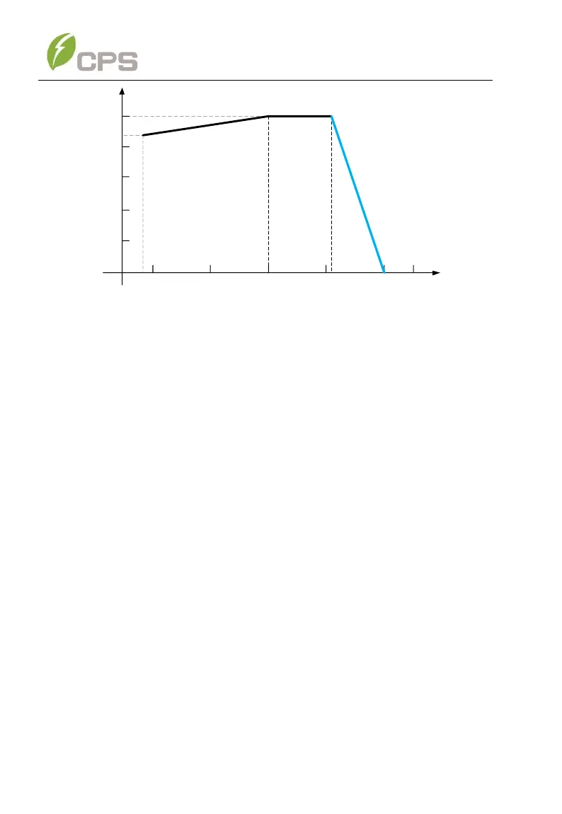
Po/Pn
0.88*Un Un 1.06*Un 1.1*Un
Grid Voltage (Vac)
volt-watt function enable
Figure 10-3-2 SCA25/50/60KTL-DO/US Derating Curve of Grid Voltage

Table of Contents

Related product manuals