EasyManua.ls Logo

CPS SCA36KTL-DO/US-480 - PV Voltage Derating Graph

CPS SCA36KTL-DO/US-480
156 pages
Print Icon
To Next Page IconTo Next Page
To Next Page IconTo Next Page
To Previous Page IconTo Previous Page
To Previous Page IconTo Previous Page
Loading...
144
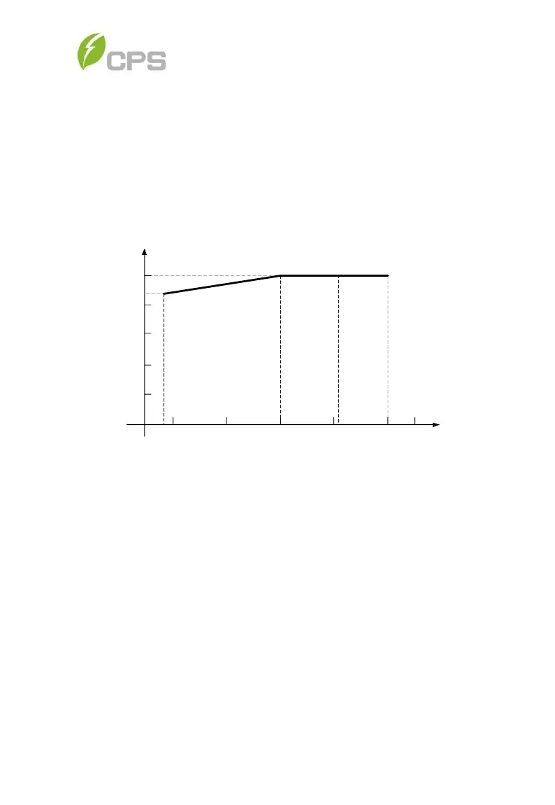
10.3.3 Grid Voltage Derating Graph
1) When the Volt-Watt function is disabled, and grid voltage is within
100%~110% (Un ~ 1.1*Un) of the Rated Output Voltage, the
inverter output power (Pn) may reach 100%. When the grid voltage
is lower than the Rated Output Voltage, the inverter will limit the AC
Output Current and the output power (Pn) will begin to derate, as
shown in Figure 10-3-1.
20%
40%
60%
80%
100%
Po/Pn
0.88*Un Un 1.06*Un 1.1*Un
Grid Voltage (Vac)
volt-watt function disable
Figure 10-3-1 SCA36/50/60KTL Derating Curve of Grid Voltage
2) When volt-watt function enable, the grid voltage is within
100%~106% (Un ~ 1.06*Un) of the Rated Output Voltage, the
inverter output power (Pn) may reach 100%. When the grid voltage
is lower than the Rated Output Voltage or more than 106%Un, the
inverter will limit the AC Output Current and the output power (Pn)
will begin to derate, shown in Figure 10-3-2.

Table of Contents

Related product manuals