EasyManua.ls Logo

CRS A255 - Page 16

Default Icon
80 pages
Print Icon
To Next Page IconTo Next Page
To Next Page IconTo Next Page
To Previous Page IconTo Previous Page
To Previous Page IconTo Previous Page
Loading...
10 A255 Robot Arm User Guide
99-04-23
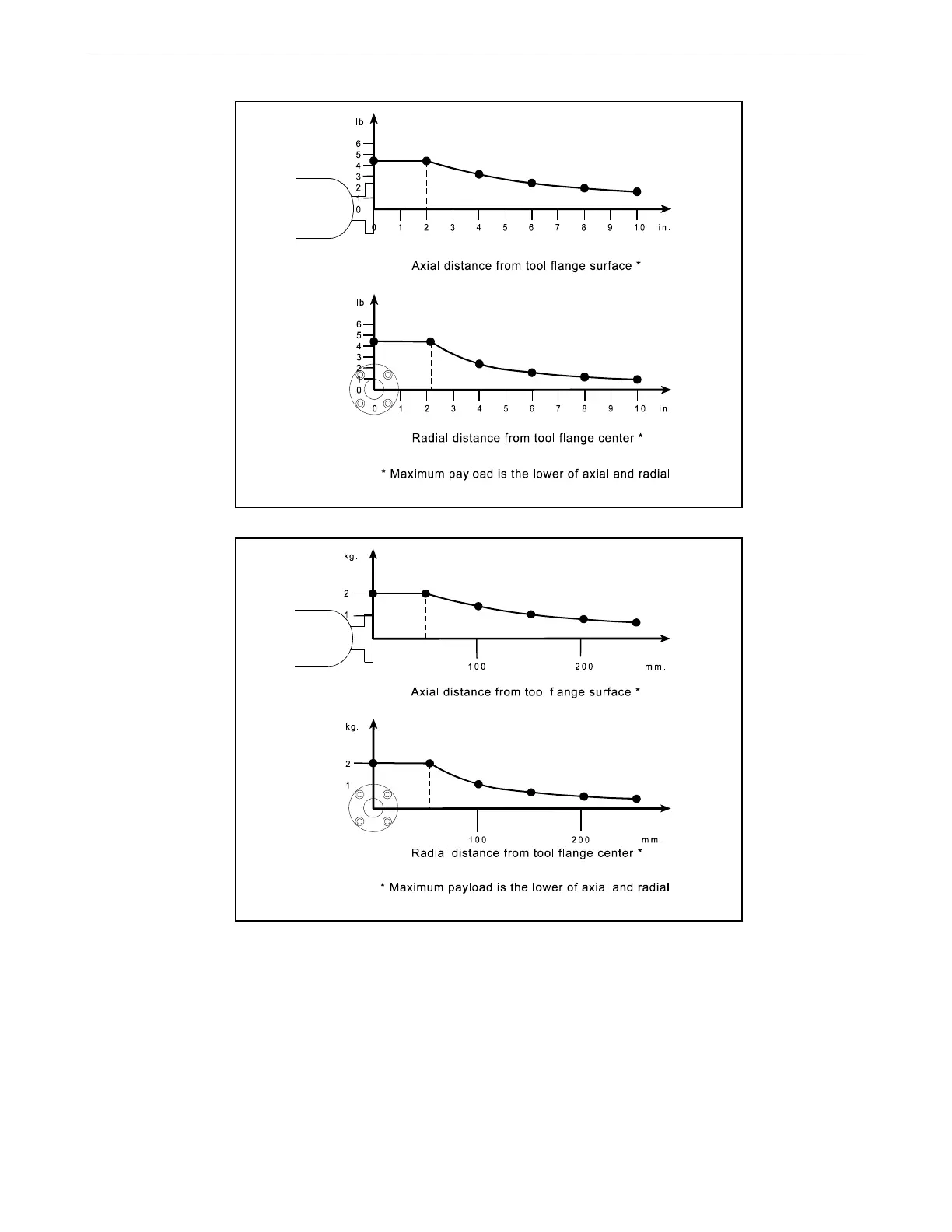
Metric: Payload decreases with the distance to its center of gravity.
Imperial: Payload decreases with the distance to its center of gravity.