EasyManua.ls Logo

Delta ASDA-A2 Series - Page 197

Delta ASDA-A2 Series
721 pages
Print Icon
To Next Page IconTo Next Page
To Next Page IconTo Next Page
To Previous Page IconTo Previous Page
To Previous Page IconTo Previous Page
Loading...
Chapter 6 Control Mode of Operation ASDA-A2
6-42 Revision February, 2017
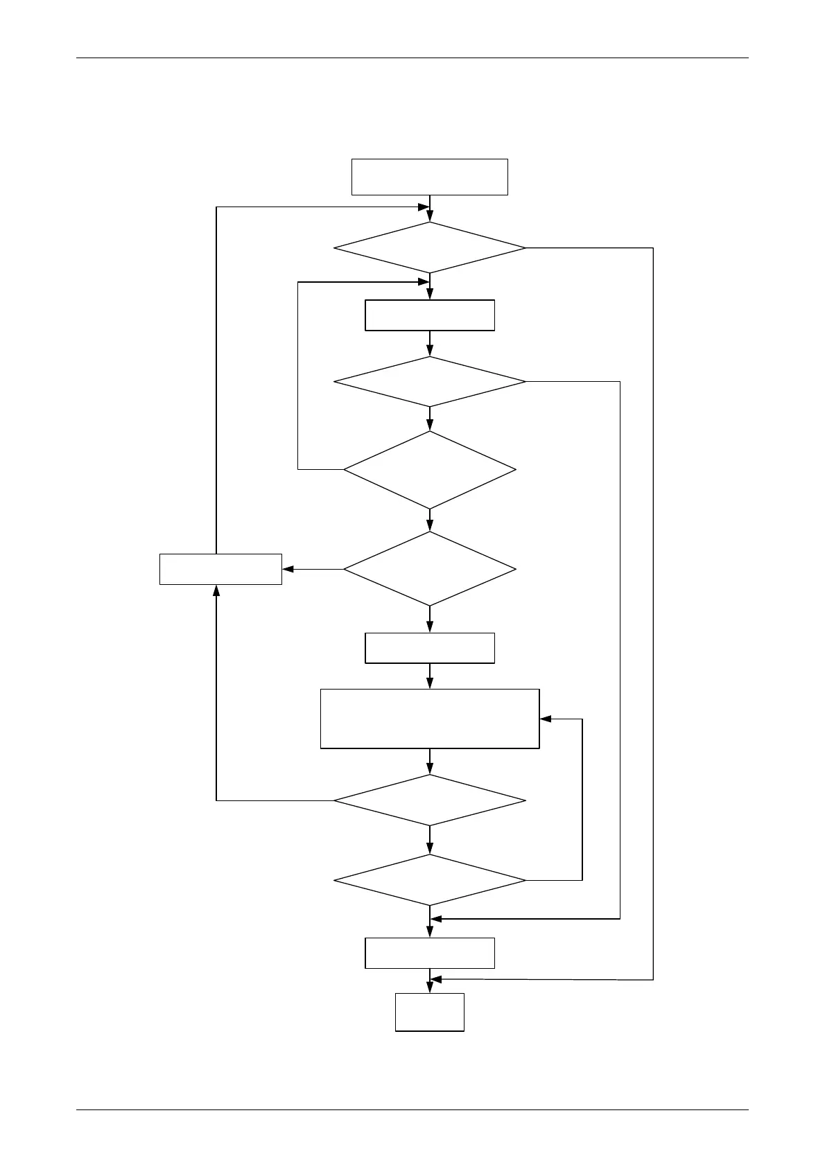
Flowchart of Auto Resonance Suppression:
Check if vibration
occurs
Set P2-47 = 1
Set P2-47 = 1 for
three time
P2-44 = 32
or P2-46 = 32
If P2-44 >0, value of P2-44 should + 1
If P2-46 >0, value of P2-46 should + 1
Check if vibration
condition has improved
Complete
Drive the machine
by servo system
Check if vibration
occurs
Set P2-47 = 0
Check if vibration
occurs
Set P2-47 = 0
Decrease frequency
response
Yes
No
Yes
Yes
No
No
Yes
Yes
Yes
No
No
No

Table of Contents

Other manuals for Delta ASDA-A2 Series

Related product manuals