EasyManua.ls Logo

Engine distributors WSG-1068 - Page 230

Default Icon
331 pages
Print Icon
To Next Page IconTo Next Page
To Next Page IconTo Next Page
To Previous Page IconTo Previous Page
To Previous Page IconTo Previous Page
Loading...
214
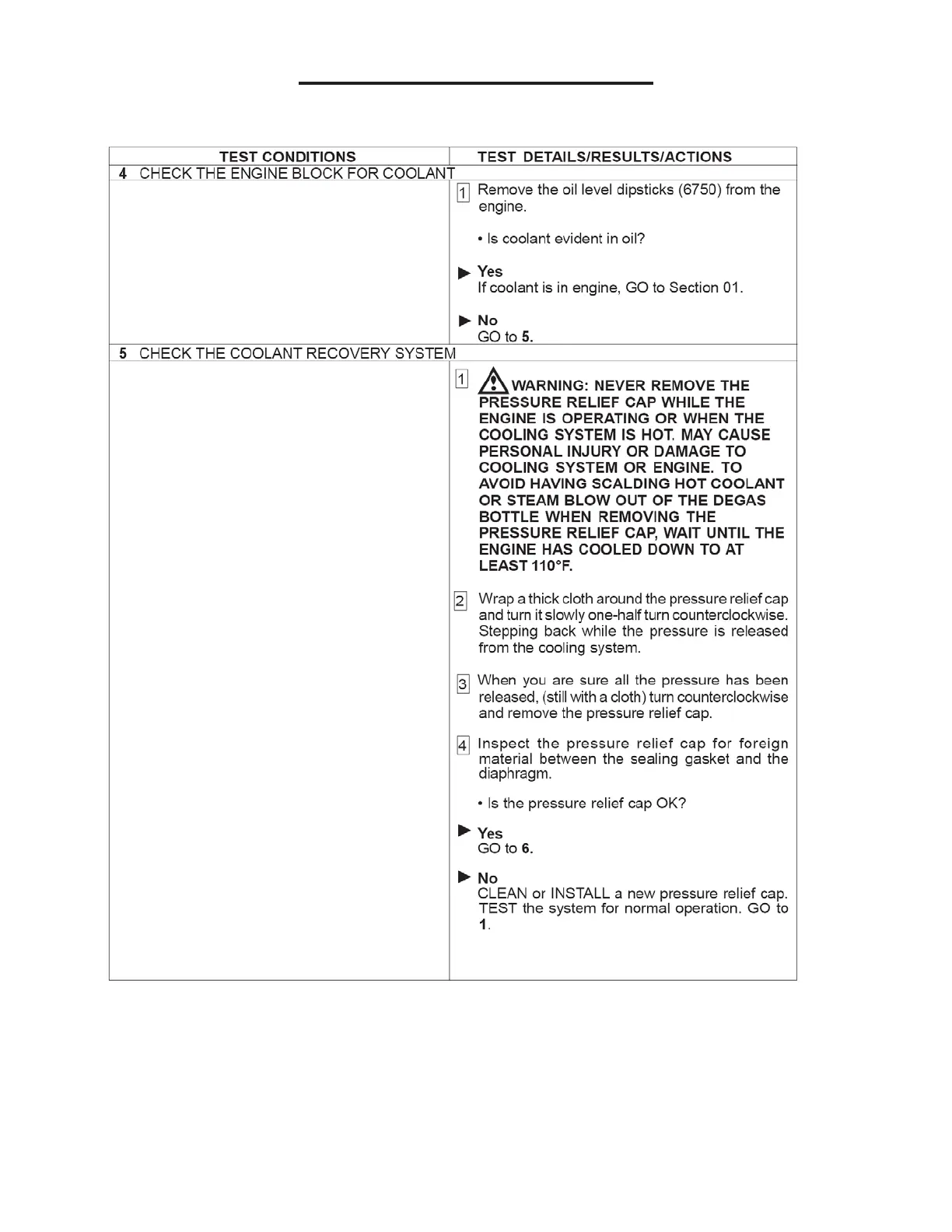
WSG-1068 COOLING SYSTEM
PINPOINT TEST A: LOSS OF COOLANT (Continued)

Table of Contents

Related product manuals