EasyManua.ls Logo

Galil Motion Control DMC-40 0 Series - Page 242

Galil Motion Control DMC-40 0 Series
283 pages
Print Icon
To Next Page IconTo Next Page
To Next Page IconTo Next Page
To Previous Page IconTo Previous Page
To Previous Page IconTo Previous Page
Loading...
Power
Unlike a switching amplifier a linear amplifier does not have a straightforward relationship between the power
delivered to the motor and the power lost in the amplifier. Therefore, determining the available power to the
motor is dependent on the supply voltage, the characteristics of the load motor, and the required velocity and
current.
All of the power delivered by the power supply is either used in the motor or lost in the amplifier.
Power of Power Supply
Amps
PPP
The power to the motor is both the power used to provide motion and the power lost to heat.
Power of the motor
m
P
= Work + Power Lost in Motor
mem
RiiVelocityKP
2
**
Power of amplifier
iVelocityKRiVP
emsA
***
In addition there is a minimum power dissipated by the amplifier when powered regardless of load. The minimum
power that the amplifier will consume is roughly
min,A
P
drop across op amp power stages + drop across sense resistor + op amp supply
NiiP
A
5.**4
2
min,
Where N =1.5W for 24V and N = 3W for 48V
For example: assume a 24VDC supply and a motor with
m
R
4ohms and
RPMVK
e
/5
and desired output
currents of 1 and .5 amps.
First calculate the minimum power used in the amplifier.
WiiampP
A
65.15.**4)1(
2
min,
WampP
A
125.535.*5.5.*4)5(.
2
min,
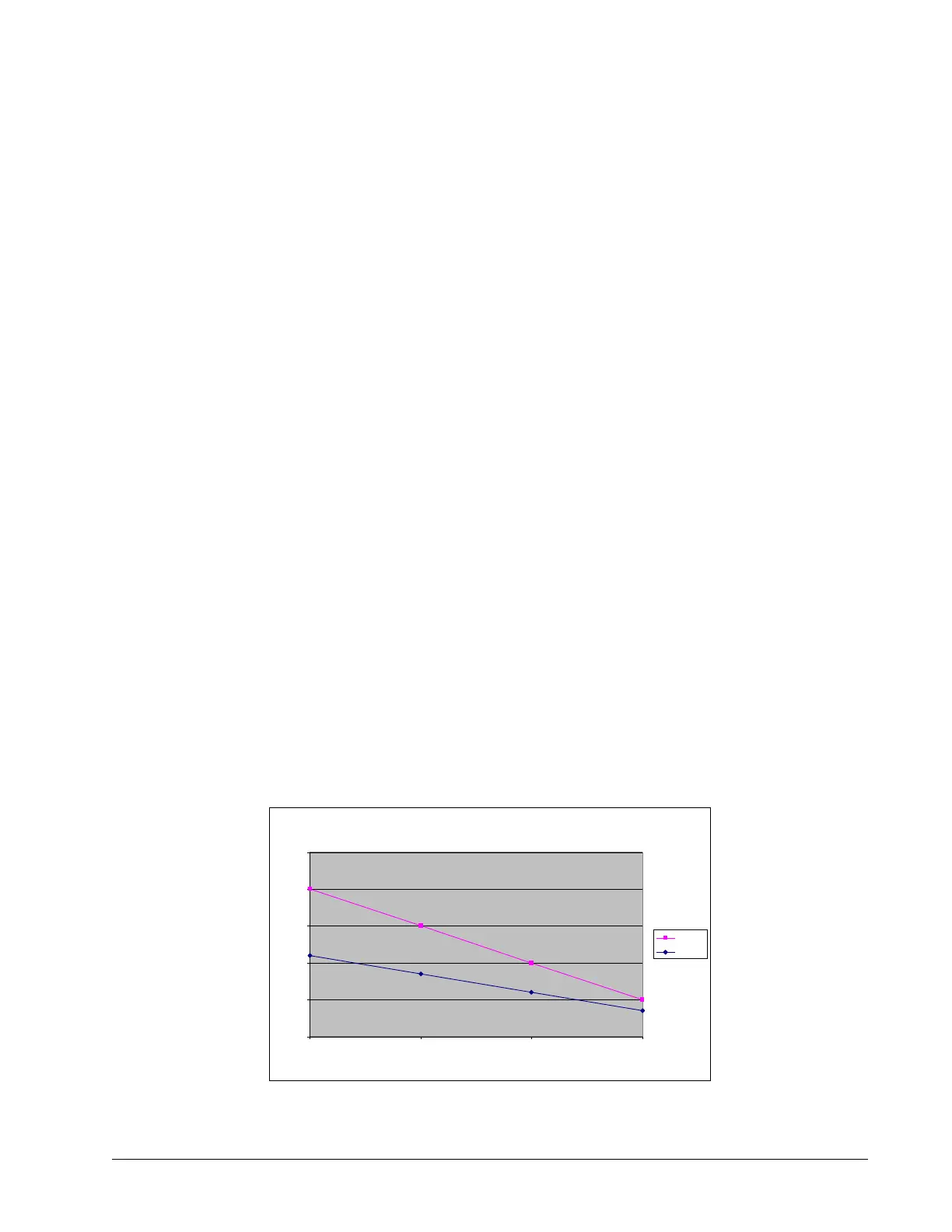
The power used by the motor will vary by its velocity even though the power lost in the motor is a constant for
each value of current. The more power sent to the motor, the less power will be dissipated by the amplifier as
heat.
A5 – AMP-43640 (-D3640) ▫ 237 DMC-40x0 User Manual
Figure A5.2: Power Dissipation for Velocity and Current
Power Dissipated by the Amplifier for a Given Velocity and Current
0
5
10
15
20
25
0 1 2 3
Velocity (kRPM)
Power (Watts)
1 Amp
.5 Amp

Table of Contents

Other manuals for Galil Motion Control DMC-40 0 Series

Related product manuals