EasyManua.ls Logo

GE F35 - Page 437

GE F35
682 pages
Print Icon
To Next Page IconTo Next Page
To Next Page IconTo Next Page
To Previous Page IconTo Previous Page
To Previous Page IconTo Previous Page
Loading...
CHAPTER 5: SETTINGS GROUPED ELEMENTS
F35 MULTIPLE FEEDER PROTECTION SYSTEM – INSTRUCTION MANUAL 5-235
5
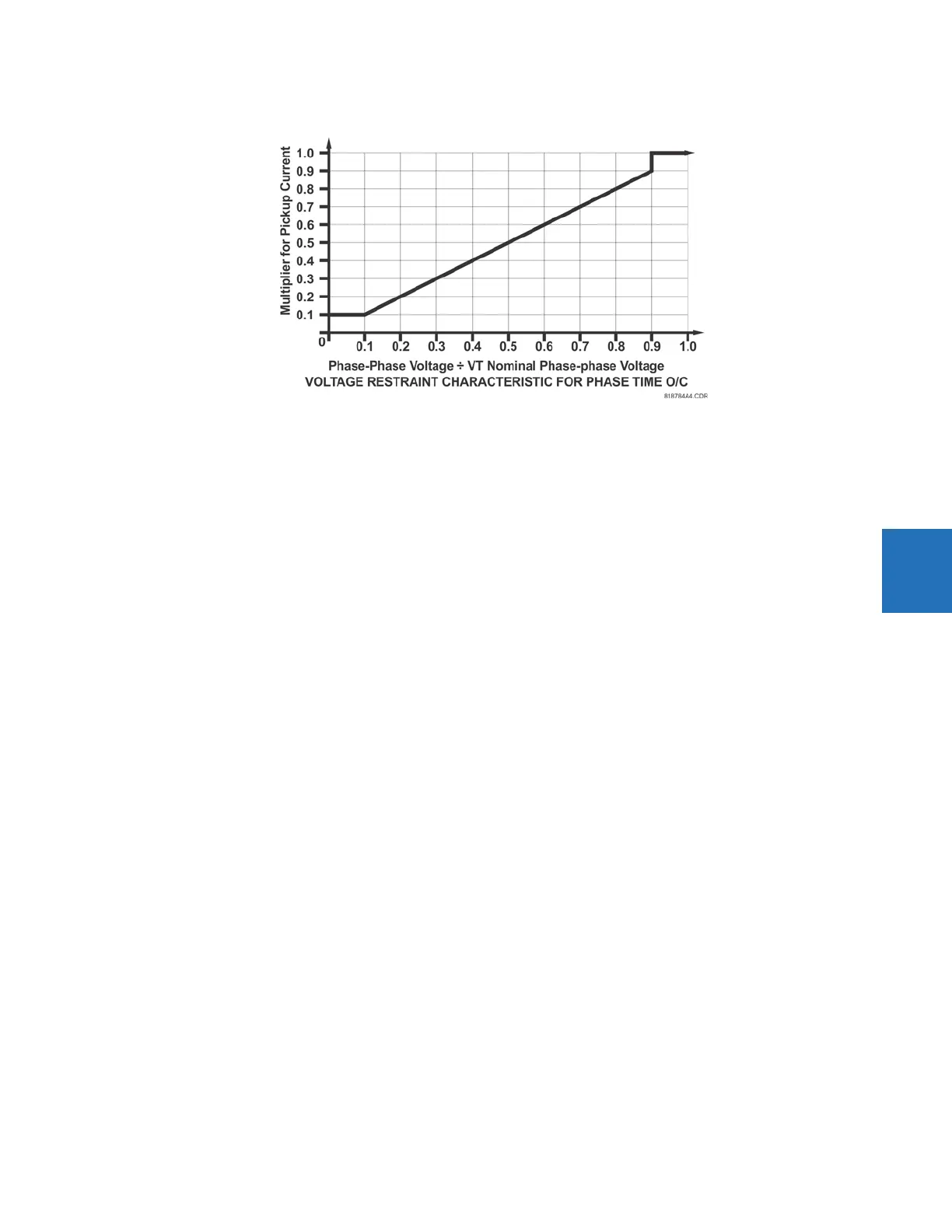
Figure 5-123: Phase time overcurrent voltage restraint characteristic
FUNCTION — This setting enables and disables the phase time overcurrent protection element.
SIGNAL SOURCE — Selects the signal source for the phase time overcurrent protection element.
INPUT — Selects how phase current input quantities are interpreted by the F35. Inputs can be selected as fundamental
phasor magnitudes or total waveform RMS magnitudes as required by the application.
PICKUP — Specifies the phase time overcurrent pickup level in per-unit values.
CURVE — Selects the time inverse overcurrent curve style.
TD MULTIPLIER — Specifies a multiple of the base curve shape specified by the CURVE setting. Programming this value to
zero results in an instantaneous response to all current levels above pickup.
RESET — The “Instantaneous” reset method is intended for applications with other relays, such as most static relays, which
set the energy capacity directly to zero when the current falls below the reset threshold. The “Timed” reset method can be
used where the relay must coordinate with electromechanical relays.
VOLTAGE RESTRAINT — Enables and disables the phase time overcurrent voltage restraint feature.
BLOCK A — Assertion of the operand assigned to this setting blocks phase A of the phase time overcurrent element.
EVENTS — Enables and disables the logging of phase time overcurrent events in the sequence of events recorder.

Table of Contents

Related product manuals