EasyManua.ls Logo

Gradient syncFURNACE mOD-200 - Heat Exchanger Specification

Gradient syncFURNACE mOD-200
81 pages
Print Icon
To Next Page IconTo Next Page
To Next Page IconTo Next Page
To Previous Page IconTo Previous Page
To Previous Page IconTo Previous Page
Loading...
syncFURNACE OD Instruction & Installation Manual Rev 09 Pg. 73 of 81
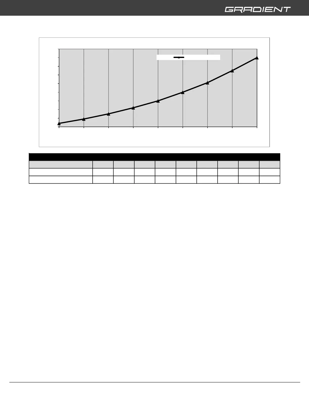
APPENDIX G: HEAT EXCHANGER SPECIFICATION >
0
10
20
30
40
50
60
70
80
90
2 3 4 5 6 7 8 9 10
Head Loss (feet)
Flow Rate (GPM)
Water Heater Head Loss Curve
200 Model
Flow Rate (GPM) 2 3 4 5 6 7 8 9 10
Head Loss @ Flow (ft head) 4.0 9.0 15.0 22.0 30.0 40.0 51.0 65.0 80.0
Head Loss @ Flow (psi) 1.7 3.9 6.5 9.5 13.0 17.3 22.1 28.2 34.7
Water Heater Head Loss - 200 MODEL

Table of Contents

Related product manuals