EasyManua.ls Logo

Kuka IONTECKR 70 R2100 - Page 139

Kuka IONTECKR 70 R2100
344 pages
To Next Page IconTo Next Page
To Next Page IconTo Next Page
To Previous Page IconTo Previous Page
To Previous Page IconTo Previous Page
Loading...
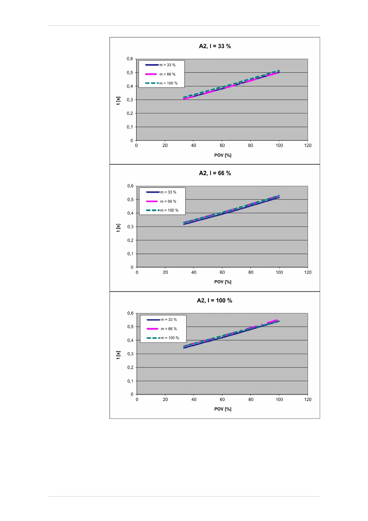
Fig. 4-88: Stopping times for STOP 1, axis 2
KR IONTEC
MA KR IONTEC V4 | Issued: 11.05.2021 www.kuka.com | 139/344
Technical data

Table of Contents

Related product manuals