EasyManua.ls Logo

MULTIQUIP DCA Series - Output Voltage Unstable Flowchart

MULTIQUIP DCA Series
94 pages
Print Icon
To Next Page IconTo Next Page
To Next Page IconTo Next Page
To Previous Page IconTo Previous Page
To Previous Page IconTo Previous Page
Loading...
GENERATOR SERVICE AND TROUBLESHOOTING MANUAL — REV. #0 (08/29/23) — PAGE 91
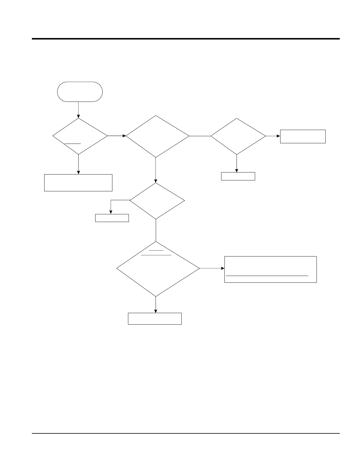
TROUBLESHOOTING FLOWCHARTS
OUTPUT VOLTAGE UNSTABLE - NO LOAD
Verify Unstable
Output Voltage
Start unit and run at
1800 rpm
Is
engine speed
hunting or fluctuating?
Adjust or repair engine governor.
Check engine speed before measuring
voltage with multimeter.
NO
YES
Verify
Is engine speed
unstable, not at
1800 rpm?
Check
voltmeter gauge
or digital controller on
control panel for loose,
damaged or corroded
connections.
NO
PASS
Test or replace voltmeter
gauge or digital controller
FAIL
Repair faulty wiring
BAD
GOOD
YES
Measure voltage at top
of circuit breaker
voltage is
unstable by measuring
voltage with a multimeter.
Phase to phase.
Check
for loose, broken
or damaged connectors
on the AVR.
Repair faulty wiring
Manual
Excitation Field
Disconnect 6 pin connector
fr AVom CN1 receptacle on R.
Connect 12 VDC battery to pins
J and K on CN5 plug
Start engine (1800 rpm).
Is voltage
stable?
YES
NO
Check rotating rectifier
for loose or damaged wiring
Stop unit, reconnect 6-pin connector CN5 back
into CN1 on AVR. Start unit. Verify voltage is
stable by turning the adjustment screw on the
on voltage coarse adjustment potentiometer
the AVR. If voltage is still unstable, replace AVR.

Related product manuals