EasyManua.ls Logo

Nokia RM-632 - WCDMA Receiver Troubleshooting Flowchart

Nokia RM-632
188 pages
Print Icon
To Next Page IconTo Next Page
To Next Page IconTo Next Page
To Previous Page IconTo Previous Page
To Previous Page IconTo Previous Page
Loading...
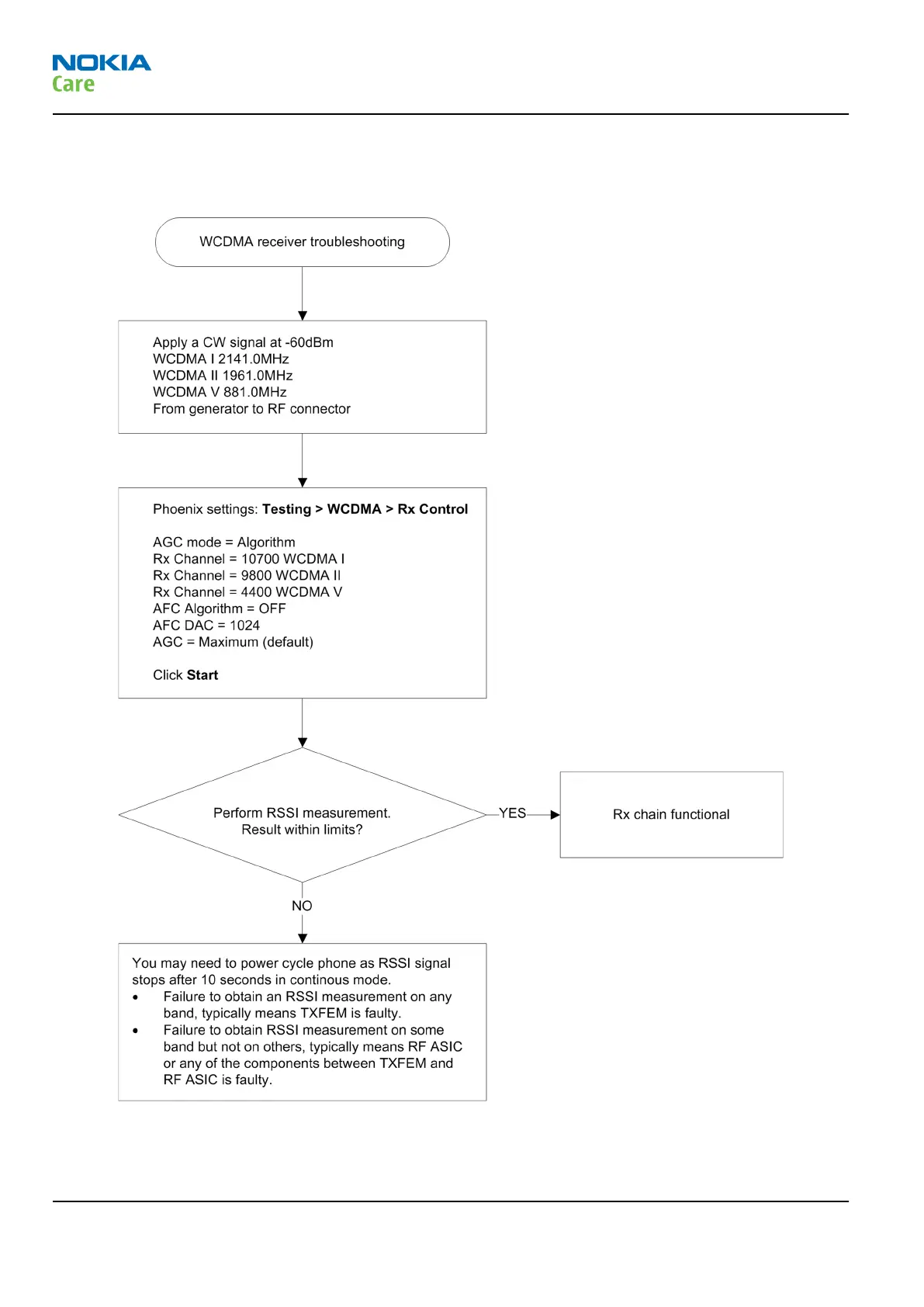
WCDMA receiver troubleshooting flowchart
Troubleshooting flow
RM-632; RM-634; RM-699
Service information differences between RM-632 and
RM-634
Page 6 – 10 COMPANY CONFIDENTIAL Issue 3
Copyright © 2010 Nokia. All rights reserved.

Table of Contents

Related product manuals