EasyManua.ls Logo

NUM 1050 M - Page 229

Default Icon
388 pages
Print Icon
To Next Page IconTo Next Page
To Next Page IconTo Next Page
To Previous Page IconTo Previous Page
To Previous Page IconTo Previous Page
Loading...
en-938821/2 6 - 5
Operational Problems
6
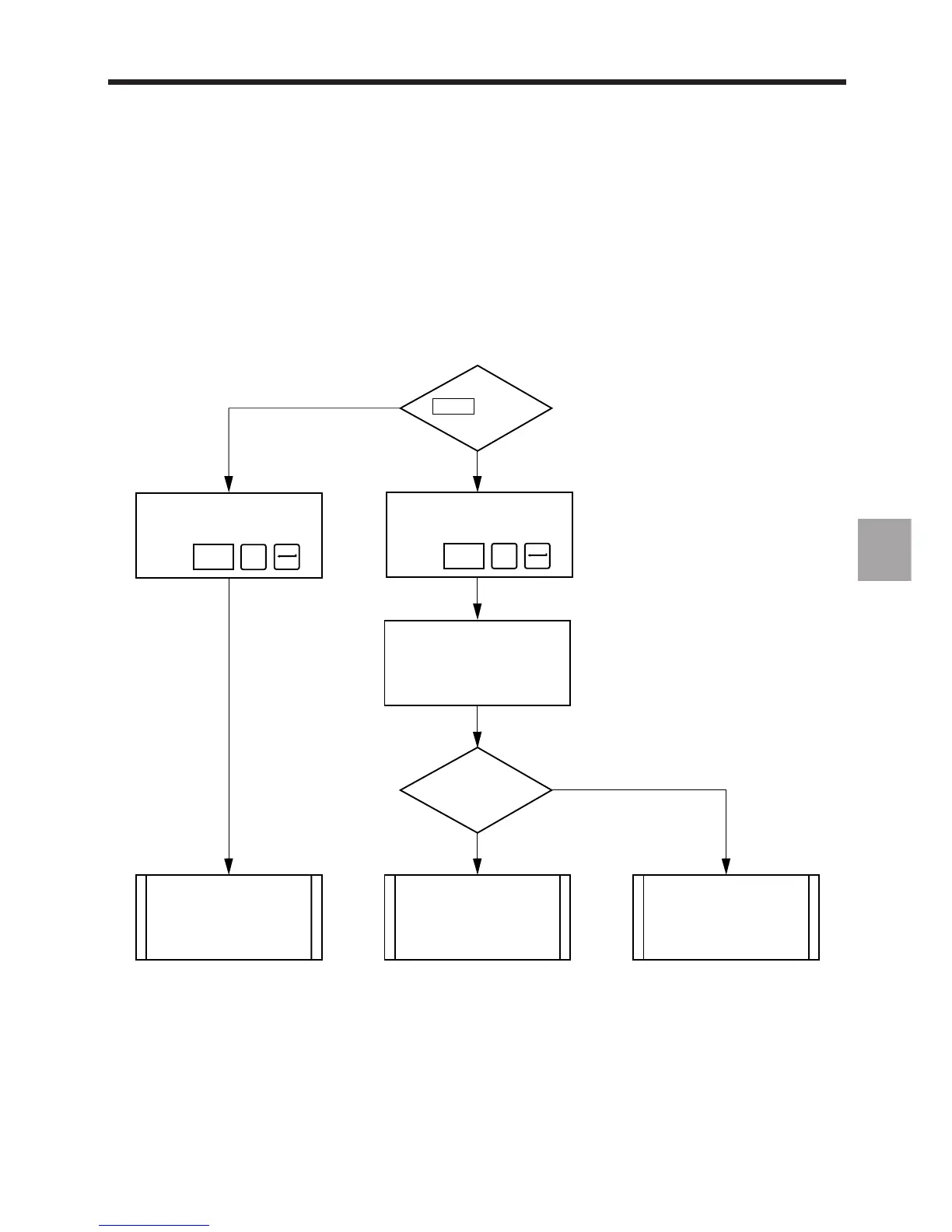
6.1 Indicator "FDHLD" Displayed
Failure symptoms
Any CNC condition.
Indicator "FDHLD" displayed.
Trouble-shooting
Examine the PLC
programme to
determine the origin
of the fault.
Call NUM
customer support.
Refer to the manufacturer's
manual for the
procedure to follow.
Display
"PLC MEMORY" page
Display the message on page
"OPERATOR MESSAGES"
Display the general
feed authorisation
condition: SPEED
SPEED = 0
?
Yes
No
No
Yes
Is the
MSG indicator
displayed
?
PLC
I/O
)
0
PLC
I/O
@
2

Table of Contents

Related product manuals