EasyManua.ls Logo

Omron VARISPEED L7 - Page 212

Omron VARISPEED L7
299 pages
Print Icon
To Next Page IconTo Next Page
To Next Page IconTo Next Page
To Previous Page IconTo Previous Page
To Previous Page IconTo Previous Page
Loading...
6-61
6
Setting the V/f Pattern
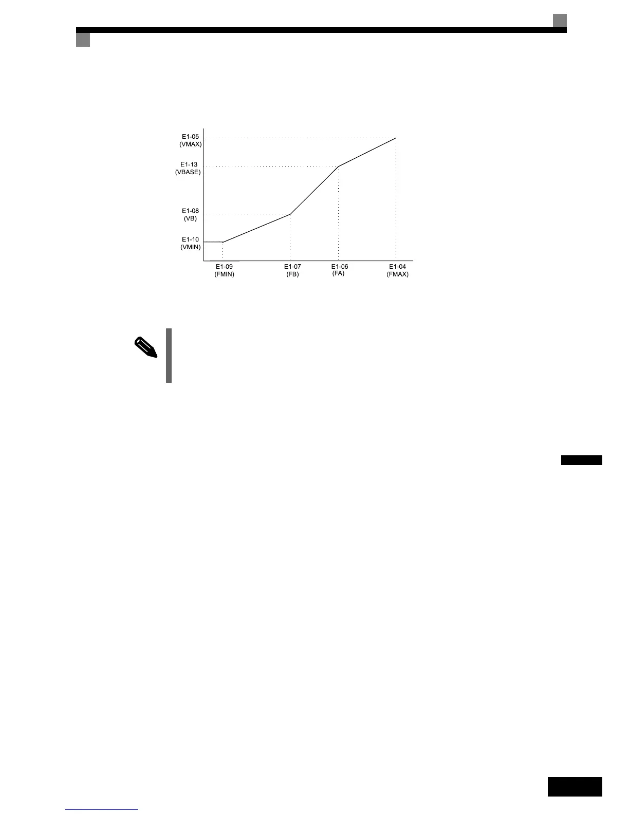
If E1-03 is set to F, the V/f pattern can be set individually using the parameters E1-04 to E1-10 (see Fig 6.24).
Fig 6.24 V/f pattern setting
Setting Precautions
When a user-defined V/f pattern is used, consider the following points:
By changing the control method, the parameters E1-07 to E1-10 are changed to the factory settings for the
selected control method.
Be sure to set the four frequencies as follows:
E1-04 (FMAX) E1-06 (FA) > E1-07 (FB) E1-09 (FMIN)
Manual Setting of the Motor Parameters
Motor Rated Current Setting (E2-01, E4-01)
Set E2-01 to the rated current value as written on the motor nameplate.
Motor Rated Slip Setting (E2-02, E4-02)
Set E2-02 to the motor rated slip calculated from the number of rated rotations on the motor nameplate.
Motor No-Load Current Setting (E2-03, E4-03)
Set E2-03 to the motor no-load current at the rated voltage and rated frequency. Normally, the motor no-load
current is not written on the motor nameplate. The following formula can be taken as an indication:
Number of Motor Poles Setting (E2-04, E4-04)
E2-04 is displayed only when Closed Loop Vector control method is selected. Set the number of motor poles
as written on the motor nameplate.
INFO
To set the V/f characteristics linear, set E1-07 and E1-09 to the same value. In this case, E1-08 will be ignored.
Output voltage (V)
Frequency (Hz)
Motor rated slip Motor rated frequency (Hz)
Rated speed (Rpm) No. motor poles×
120
-------------------------------------------------------------------------------------------
=
I
0
ϕcosacos()sin=

Table of Contents

Related product manuals