EasyManua.ls Logo

Parker COMPAX-M /-S (L) - Page 198

Parker COMPAX-M /-S (L)
242 pages
To Next Page IconTo Next Page
To Next Page IconTo Next Page
To Previous Page IconTo Previous Page
To Previous Page IconTo Previous Page
Loading...
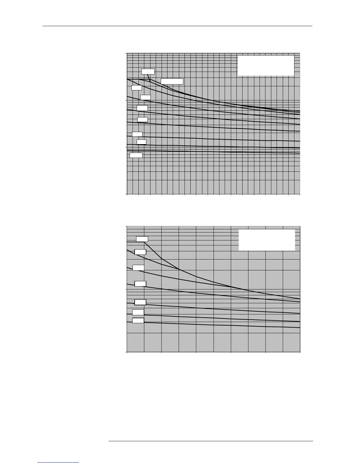
Accessories and options
COMPAX-M / -S
External ballast resistors
198
Authorised braking impulse power for COMPAX 4500S and
COMPAX 8500S with BRM 6/01
100
1000
10000
100000
0,0 0,2 0,4 0,6 0,8 1,0 1,2 1,4 1,6 1,8 2,0 2,2 2,4 2,6 2,8 3,0
Braking time / s
Pbdyn / W
F=50
F=5
F=10
F=2
F=1
F=0.5
F=100
single pulse
F=20
Authorised braking impulse power for COMPAX3500M with BRM7/01
1000
10000
100000
0,0 2,0 4,0 6,0 8,0 10,0
Braking time / s
Pbdyn / W
F=50
F=5
F=10
F=2
F=1
F=0.5
F=20
F: Factor
Cooling down time = F *
braking time
F: Factor
Cooling down time = F *
braking time

Table of Contents

Related product manuals