EasyManua.ls Logo

Physio Control LIFEPAK 9 - Page 81

Physio Control LIFEPAK 9
214 pages
Print Icon
To Next Page IconTo Next Page
To Next Page IconTo Next Page
To Previous Page IconTo Previous Page
To Previous Page IconTo Previous Page
Loading...
LIFEPAK
9
defibrillator/monitor
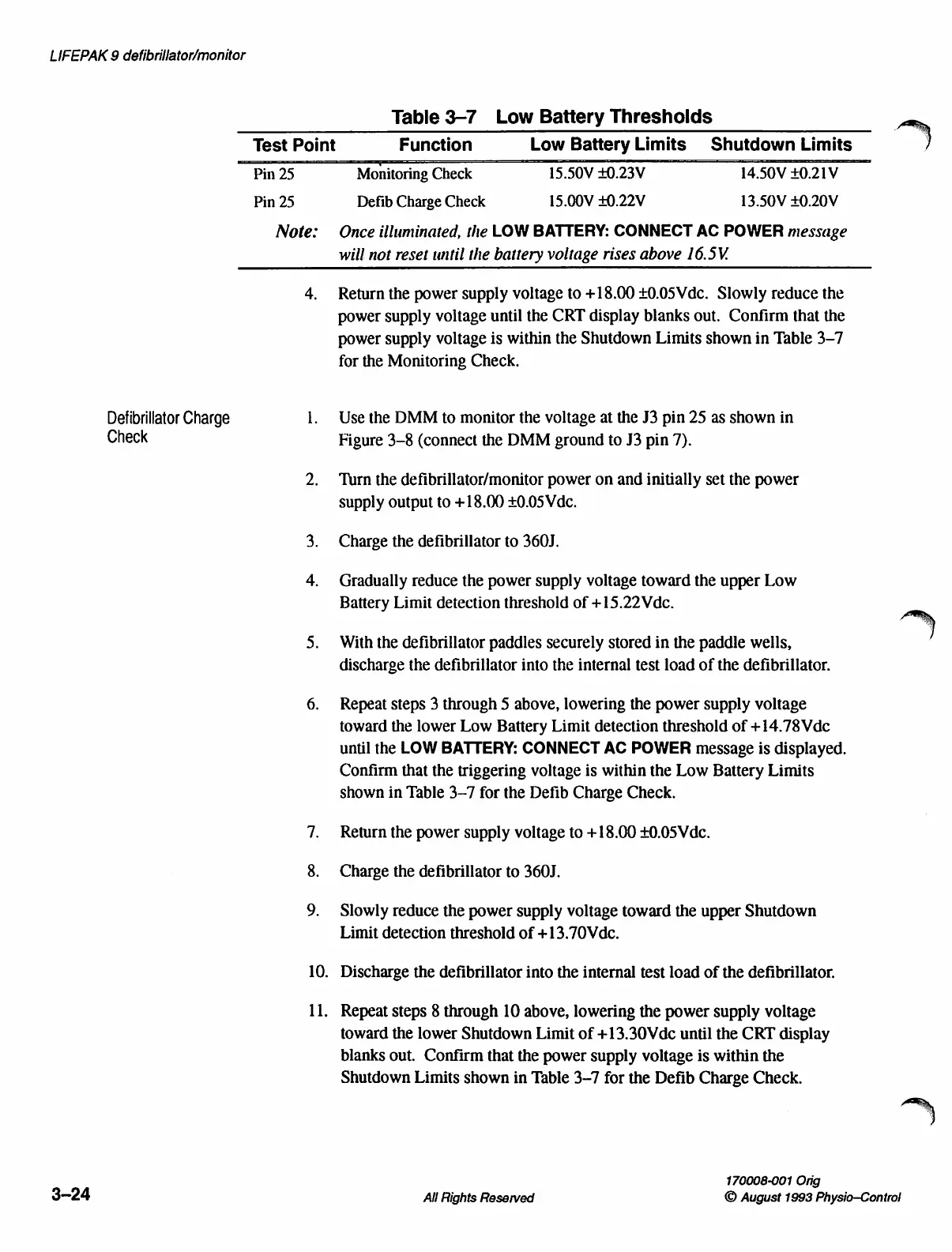
Table
3-7
Low
Battery
Thresholds
Test
Point
Function
Low
Battery
Limits
Shutdown
Limits
Pin
25
Monitoring
Check
15.50V
+0.23V
14.50V
+0.21V
Pin
25
Defib
Charge
Check
15.00V
+0.22V
13.50V
+0.20V
Note:
Once
illuminated,
the
LOW
BATTERY:
CONNECT
AC
POWER
message
will
not
reset
until
the
battery
voltage
rises
above
16.5V.
4.
Return
the
power
supply
voltage
to
+18.00
+0.05Vdc.
Slowly
reduce
the
power
supply
voltage
until
the
CRT
display
blanks
out.
Confirm
that
the
power
supply
voltage
is
within
the
Shutdown
Limits
shown
in
Table
3-7
for
the
Monitoring
Check.
Defibrillator
Charge
1.
Use
the
DMM
to
monitor
the
voltage
at
the
J3
pin
25
as
shown
in
Check
Figure
3-8
(connect
the
DMM
ground
to
J3
pin
7).
2.
Turn
the
defibrillator/monitor
power
on
and
initially
set
the
power
supply
output
to
+18.00
+£0.05
Vdc.
3.
Charge
the
defibrillator
to
360J.
4.
Gradually
reduce
the
power
supply
voltage
toward
the
upper
Low
Battery
Limit
detection
threshold
of
+15.22Vdc.
5.
With
the
defibrillator
paddles
securely
stored
in
the
paddle
wells,
discharge
the
defibrillator
into
the
internal
test
load
of
the
defibrillator.
6.
Repeat
steps
3
through
$5
above,
lowering
the
power
supply
voltage
toward
the
lower
Low
Battery
Limit
detection
threshold
of
+14.78Vdc
until
the
LOW
BATTERY:
CONNECT
AC
POWER
message
is
displayed.
Confirm
that
the
triggering
voltage
is
within
the
Low
Battery
Limits
shown
in
Table
3-7
for
the
Defib
Charge
Check.
7.
Return
the
power
supply
voltage
to
+18.00
+0.05Vdc.
8.
Charge
the
defibrillator
to
360J.
9.
Slowly
reduce
the
power
supply
voltage
toward
the
upper
Shutdown
Limit
detection
threshold
of
+13.70Vdc.
10.
Discharge
the
defibrillator
into
the
internal
test
load
of
the
defibrillator.
11.
Repeat
steps
8
through
10
above,
lowering
the
power
supply
voltage
toward
the
lower
Shutdown
Limit
of
+13.30Vdc
until
the
CRT
display
blanks
out.
Confirm
that
the
power
supply
voltage
is
within
the
Shutdown
Limits
shown
in
Table
3-7
for
the
Defib
Charge
Check.
170008-001
Orig
3-24
All
Rights
Reserved
©
August
1993
Physio—Control

Table of Contents

Other manuals for Physio Control LIFEPAK 9

Related product manuals