EasyManua.ls Logo

Scanlab RTC 4 - Page 23

Scanlab RTC 4
136 pages
Print Icon
To Next Page IconTo Next Page
To Next Page IconTo Next Page
To Previous Page IconTo Previous Page
To Previous Page IconTo Previous Page
Loading...
RTC
®
4 PC Interface Board
Rev. 1.3 e
4 Principle Of Operation
23
innovators for industry
Customizing The Variable Polygon Delay
The command
load_varpolydelay(FileName, X)
loads a table for the scaling function scale(φ) from an
ASCII text file (with the filename extension
*.STB
).
Each STB file can contain one or more tables.
See load_varpolydelay (page 97) for details.
The table contains up to 50 data points (φ| scale(φ))
for various angles φ. The RTC
®
4 determines the
scaling function scale(φ) from this data by linear inter-
polation.
Tab l e F or ma t
Each table starts with the instruction
[VarPolyTableX]
where
X
must be replaced by a positive integer which
denotes the table number.
Each data point (φ| scale(φ)) is described by two
instructions:
AngleY=....
ScaleY=....
where
Y
must be replaced by an integer (1
Y
50)
which denotes the number of the data point.
The values for the angle φ (in degrees) and the scaling
factor must be specified as floating point numbers.
Use the period
(.)
as the decimal point.
The allowed ranges are:
≤φ 180° and 0 scale(φ) 2.
Notes
Each instruction must be in a separate line.
Empty lines are ignored.
All characters following a semicolon
(;)
are
ignored until the end of the line, i.e. the
semicolon can be used for comments.
The order of the data points in the table is of no
importance.
The angle φ = 0° means that two successive
vectors are parallel and are marked in the same
direction.
If the table contains no explicit data for φ =0°,
the scaling factor scale(0°) = 0 is assumed.
The angle φ = 180° means that two successive
vectors are marked in the opposite direction.
If the table contains no explicit data for φ= 180°,
the scaling factor scale(180°) is set to the largest
scaling factor found in the table.
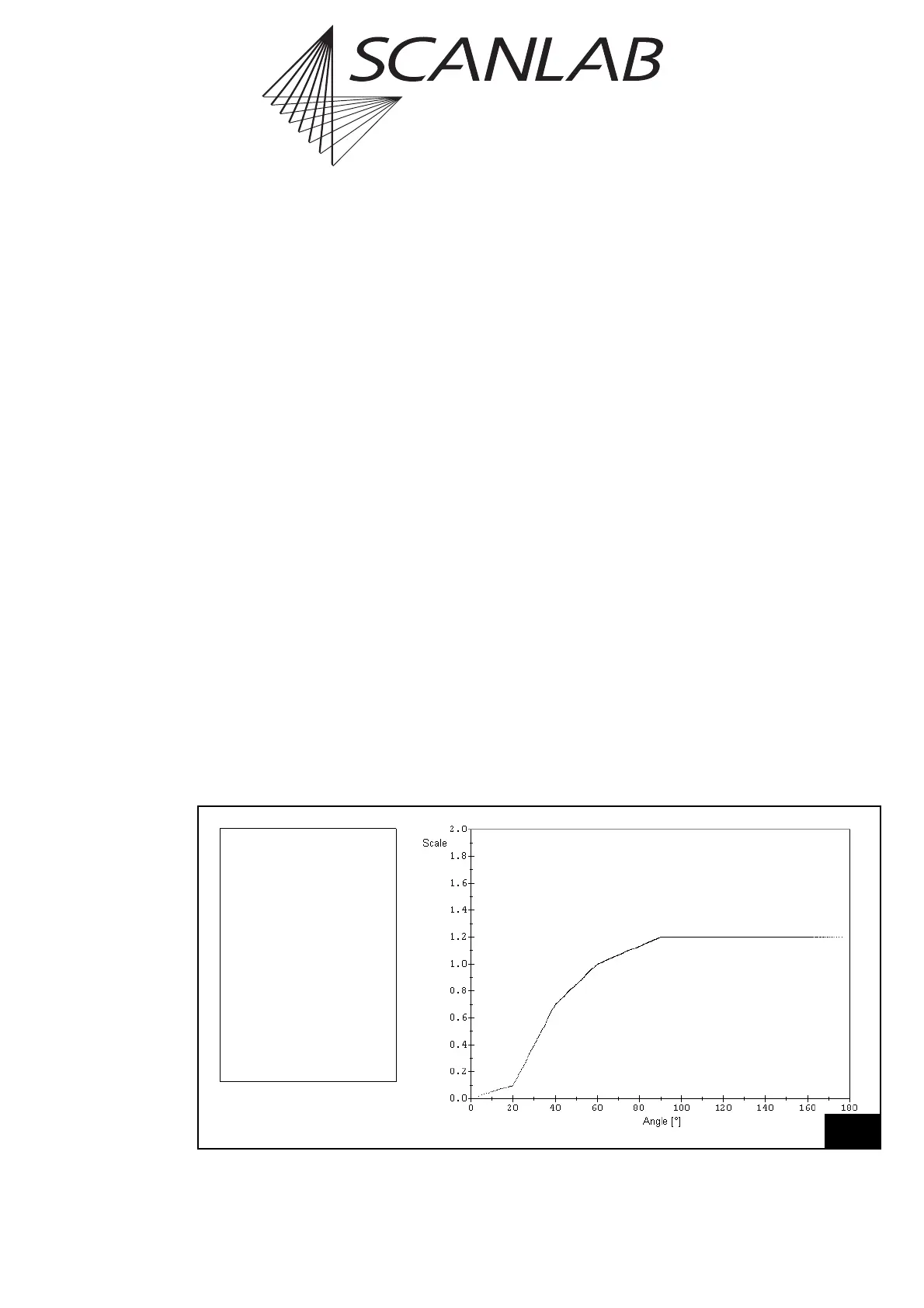
Figure 11 shows a sample table and the corre-
sponding scaling function.
11
Sample table and resulting scaling function scale(φ).
The sample table contains four data points.
; sample
[VarPolyTable1]
Angle1=20
Scale1=0.1
Angle2=40
Scale2=0.7
Angle3=60
Scale3=1.0
Angle4=90
Scale4=1.2

Table of Contents

Related product manuals