EasyManua.ls Logo

SICK FLOWSIC100 Flare - Page 78

SICK FLOWSIC100 Flare
88 pages
Print Icon
To Next Page IconTo Next Page
To Next Page IconTo Next Page
To Previous Page IconTo Previous Page
To Previous Page IconTo Previous Page
Loading...
78 FLOWSIC100 Flare · Addendum to Operating Instructions · 8025365/V1-0/2020-05 · © SICK Engineering GmbH
Technical data
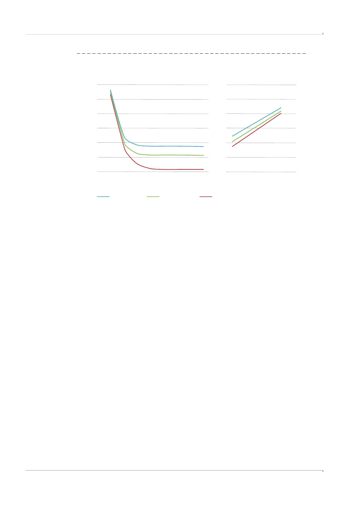
Fig. 44 Uncertainty of flow rate as function of the velocity of gas (VOG)
2
4
6
8
10
12
0.01 0.1 1 10 100
0
Uncertainty [%]
vog [m/s]
2
4
6
8
10
12
0
90 100 110 120 130
Uncertainty [%]
vog [m/s]
Hot Tapped Dry Calibration Flow Calibration
Ultrasonic measurement ASC Technology
(Additional uncertainty onto ultrasonic
measurement.)
Welded Dry calibrated Flow calibrated
Uncertainty [%]
Uncertainty [%]
This exemplary uncertainty statement according to GUM (Guide to the Expression of Uncertainty in Measurement): ISO/
IEC Guide 98-3:2008-09 shows a F1F-S in 1-path, 16" nominal pipe size configuration and assumes a gas temperature
of 20 °C, ambient pressure, a typical molecular weight of greater than 27 g/mol.
VOG [m/s] VOG [m/s]

Table of Contents

Other manuals for SICK FLOWSIC100 Flare

Related product manuals