EasyManua.ls Logo

Sirona S2 - Page 169

Sirona S2
Print Icon
To Next Page IconTo Next Page
To Next Page IconTo Next Page
To Previous Page IconTo Previous Page
To Previous Page IconTo Previous Page
Loading...
Sirona Dental Systems GmbH 10 Funciones de los instrumentos
41 63 189 D 3311
D 3311.201.01.10.04
27
IWTE»SP
Otras ADVERTENCIAS para trabajar
con el aparato de cirugía
El paciente no debe estar en contacto
con partes metálicas
q
ue estén pue-
stas a tierra o ten
g
an una considerable
capacidad respecto a tierra
(
p. e
j
. mesa
de operaciones, soportes
)
.
La potencia suministrada debe a
j
ustar-
se a un valor lo más reducido posible
para el correspondiente fin.
Cuando el aparato de ciru
g
ía parece
suministrar poca potencia, o con un
a
j
uste normal no traba
j
a correctamen-
te, puede este ser debido a un mal
contacto en el cable de acometida.
Las sustancias inflamables,
q
ue, p. e
j
.
se emplean como medios de limpieza
y
desinfección, deben estar evaporadas
antes de aplicar la ciru
g
ía. El al
g
odón
puede inflamarse. Los
g
ases en
g
e-
nos se pueden inflamar.
La alta frecuencia puede afectar el
funcionamiento de otros aparatos elec-
trónicos.
El conductor de electrodo se ha de
comprobar periódicamente para lo-
calizar eventuales defectos en el
aislamiento
.
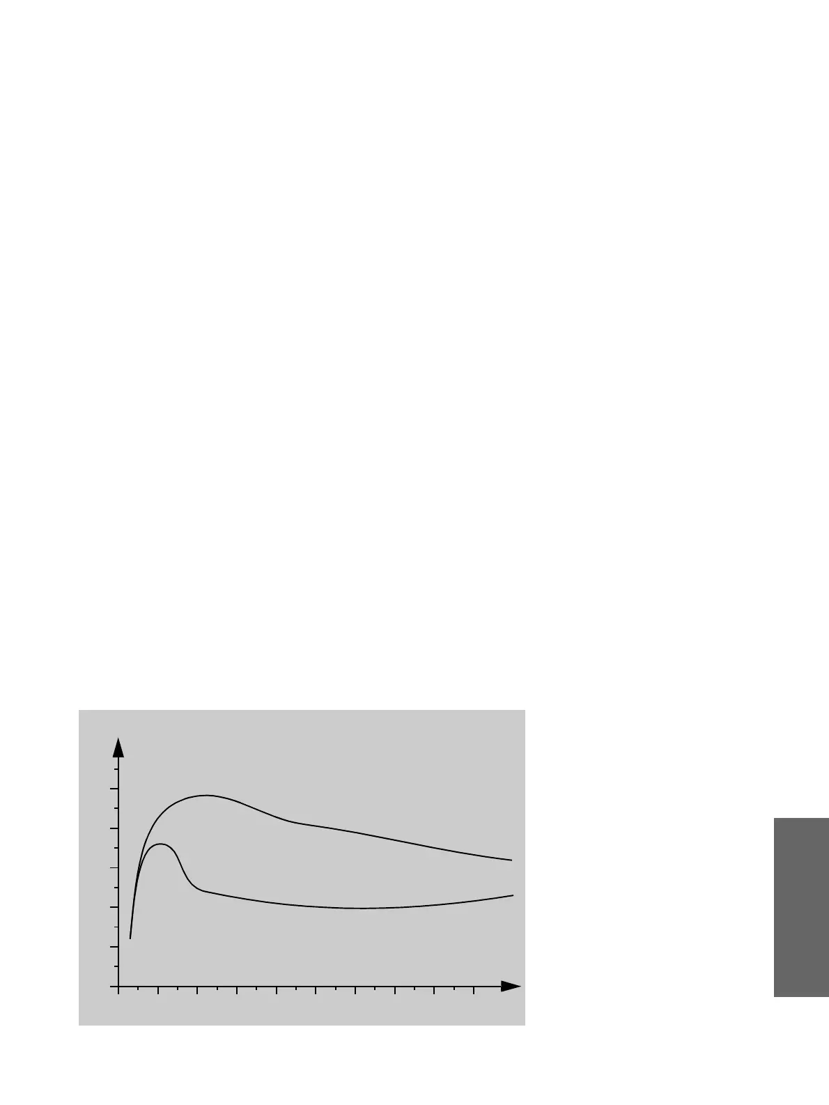
Descripción técnica
Electrocirugía con SIROTOM
Línea característica de potencia
para corte y coagulatión
Medida entre la pieza de mano y el
conductor de protección.
10
20
30
40
50
Watt
500 1000
2000
1500 Ohm
Intensidad=50
Intensidad=100

Table of Contents

Related product manuals