EasyManua.ls Logo

Sirona S2 - Page 31

Sirona S2
Print Icon
To Next Page IconTo Next Page
To Next Page IconTo Next Page
To Previous Page IconTo Previous Page
To Previous Page IconTo Previous Page
Loading...
Sirona Dental Systems GmbH
10 Instrumentenfunktionen
41 63 189 D 3311
D 3311.201.01.10.01
27
HIYXWGL
Weitere WARNHINWEISE für das
Arbeiten mit dem Chirurgiegerät
Der Patient sollte nicht mit Metallteilen
in Berührung kommen, die geerdet
sind oder beträchtliche Kapazität ge-
gen Erde haben (z. B. Operationstisch,
Halterungen).
Die Leistungsabgabe sollte auf einen,
für den jeweiligen Zweck, möglichst
niedrigen Wert eingestellt werden.
Wenn das Chirurgiegerät scheinbar
wenig Leistung abgibt, oder bei norma-
ler Einstellung nicht ordnungsgemäß
arbeitet, kann dies einen schlechten
Kontakt in der Zuleitung zur Ursache
haben.
Brennbare Stoffe, die z. B. als Reini-
gungs- und Desinfektionsmittel ver-
wendet werden, sollten vor Anwen-
dung der Chirurgie verdunstet sein.
Watte kann entzündet
werden.
Endo-
gene
Gase
können
gezündet
werden.
Die HF kann die Funktion anderer elek-
tronischer Geräte beeinträchtigen.
Die Elekrodenleitung ist regelmäßig
auf mögliche Schäden an der Isolation
zu prüfen.
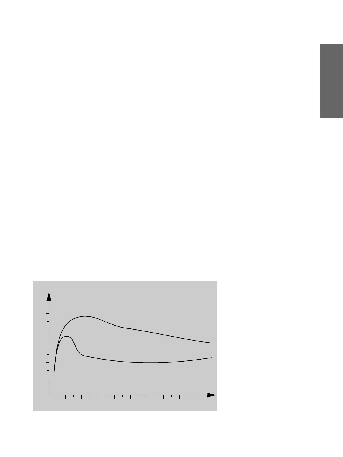
Technische Beschreibung
SIROTOM Elektrochirurgie
Leistungskennlinie
für Schneiden und Koagulation
Leistung gemessen zwischen Handstück
und Erde.
10
20
30
40
50
Watt
500 1000
2000
1500 Ohm
Intensität=50
Intensität=100

Table of Contents

Related product manuals