EasyManua.ls Logo

ST STM32G4 Series - Figure 306. PWM Resolution Vs Frequency

ST STM32G4 Series
2126 pages
Print Icon
To Next Page IconTo Next Page
To Next Page IconTo Next Page
To Previous Page IconTo Previous Page
To Previous Page IconTo Previous Page
Loading...
Advanced-control timers (TIM1/TIM8/TIM20) RM0440
1122/2126 RM0440 Rev 4
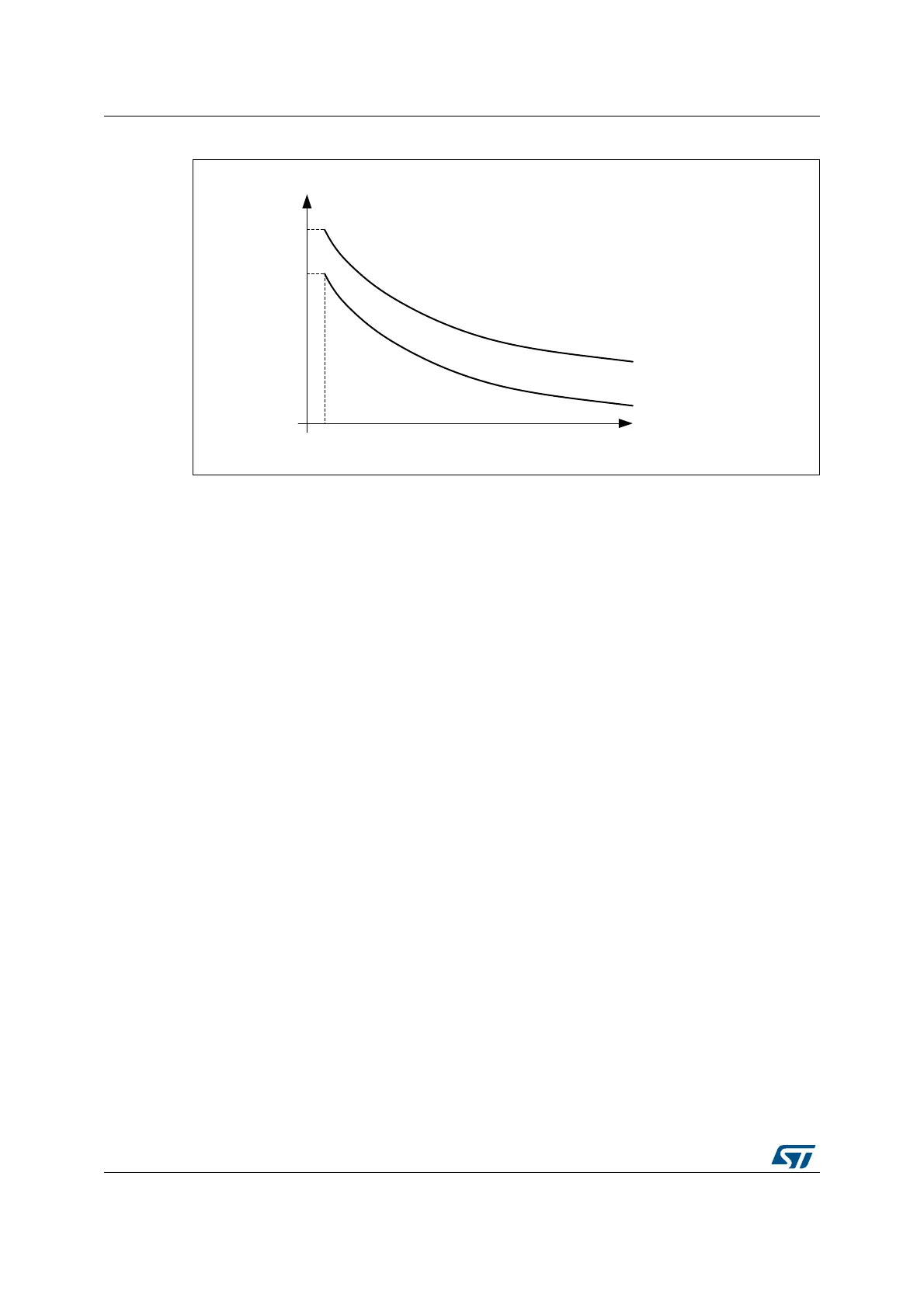
Figure 306. PWM resolution vs frequency
The duty cycle and / or period changes are spread over 16 consecutive periods, as
described in the Figure 307 below.
MSv47464V2
PWM resolution
16-bit
PWM frequency
F
PWM
min
Dithering
No Dithering
20-bit

Table of Contents

Related product manuals