EasyManua.ls Logo

Thomas T175 - Page 62

Thomas T175
231 pages
Print Icon
To Next Page IconTo Next Page
To Next Page IconTo Next Page
To Previous Page IconTo Previous Page
To Previous Page IconTo Previous Page
Loading...
2-7
2
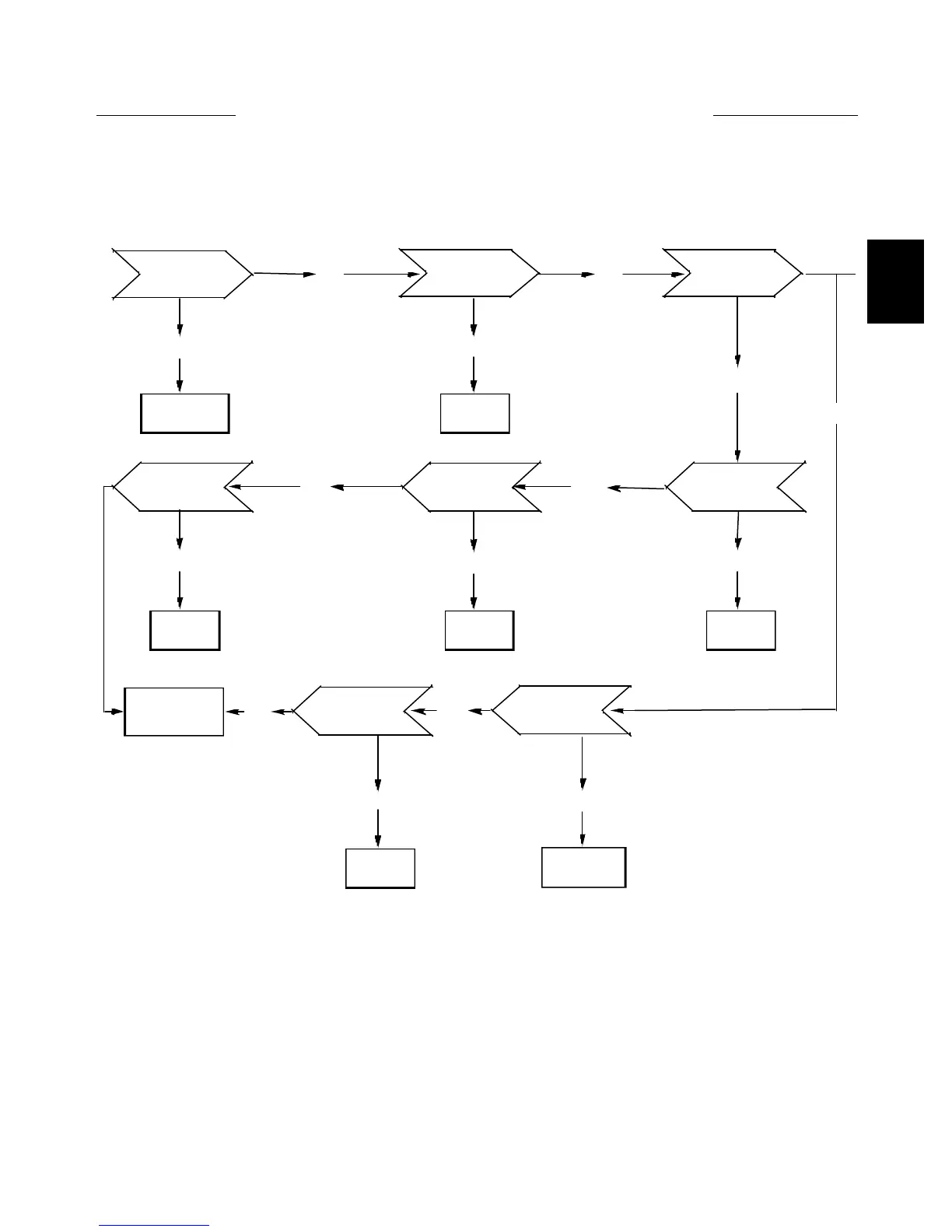
TROUBLE SHOOTING 2.3
Symptom: System Will Not Operate In Either Direction
Repair or
replace
Fill to proper
level
Replace
Repair or
replace
Reduce sys-
tem load
Repair or
replace
Repair or
replace
Defective
Defective Clogged
Defective
High
Low
Defective
OK OK
OK
OK
OKOK
Inspect inlet
screen or filter
Inspect motor
Check sys-
tem pressure
Replace pump
and motor
Inspect charge
relief valve
Inspect charge
pump
Check charge
pressure
Check external
control linkage
Check oil level
in reservoir
Below level
OK
OK

Table of Contents

Related product manuals