EasyManua.ls Logo

Toshiba TSL3000 - Page 171

Toshiba TSL3000
174 pages
To Next Page IconTo Next Page
To Next Page IconTo Next Page
To Previous Page IconTo Previous Page
To Previous Page IconTo Previous Page
Loading...
STE 80722
166
COMMUNICATION MANUAL
series Robot Controller
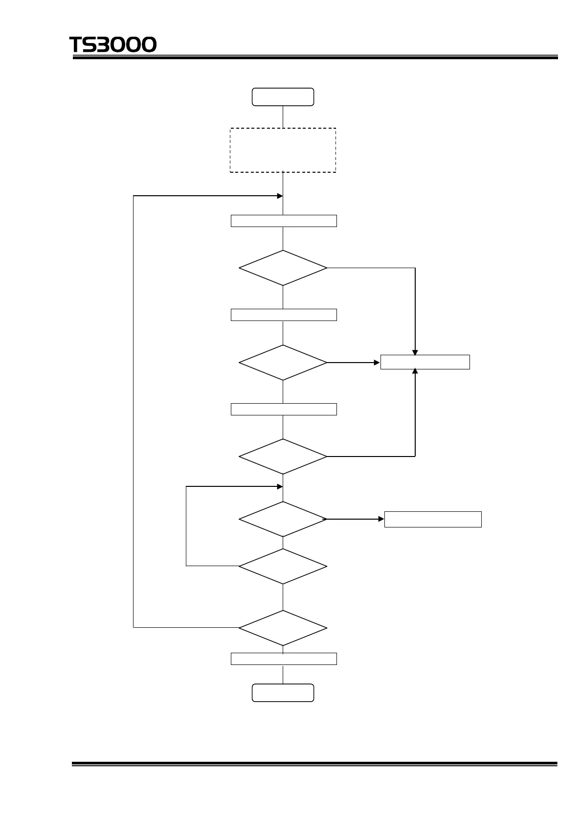
Fig. 6.2 Operation sequence including program download
Operation
Preparations for
operation (Same as
Fig.
6.1)
Program download
OK?
N
Y
Program selection
OK?
N
Y
Start
System check
OK?
N
Y
Robot check
Fault?
Y
N
Cycle finish?
N
Y
Continue
operation?
Y
N
Servo OFF
Completion
; Stops automatically
upon cycle
completion.

Other manuals for Toshiba TSL3000

Related product manuals