EasyManua.ls Logo

VAMP 257 - Page 63

VAMP 257
194 pages
Print Icon
To Next Page IconTo Next Page
To Next Page IconTo Next Page
To Previous Page IconTo Previous Page
To Previous Page IconTo Previous Page
Loading...
VAMP Ltd Feeder and motor manager
Technical description
VAMP 257
VM257.EN002 VAMP 24h support phone : +358 (0)20 753 3264
21
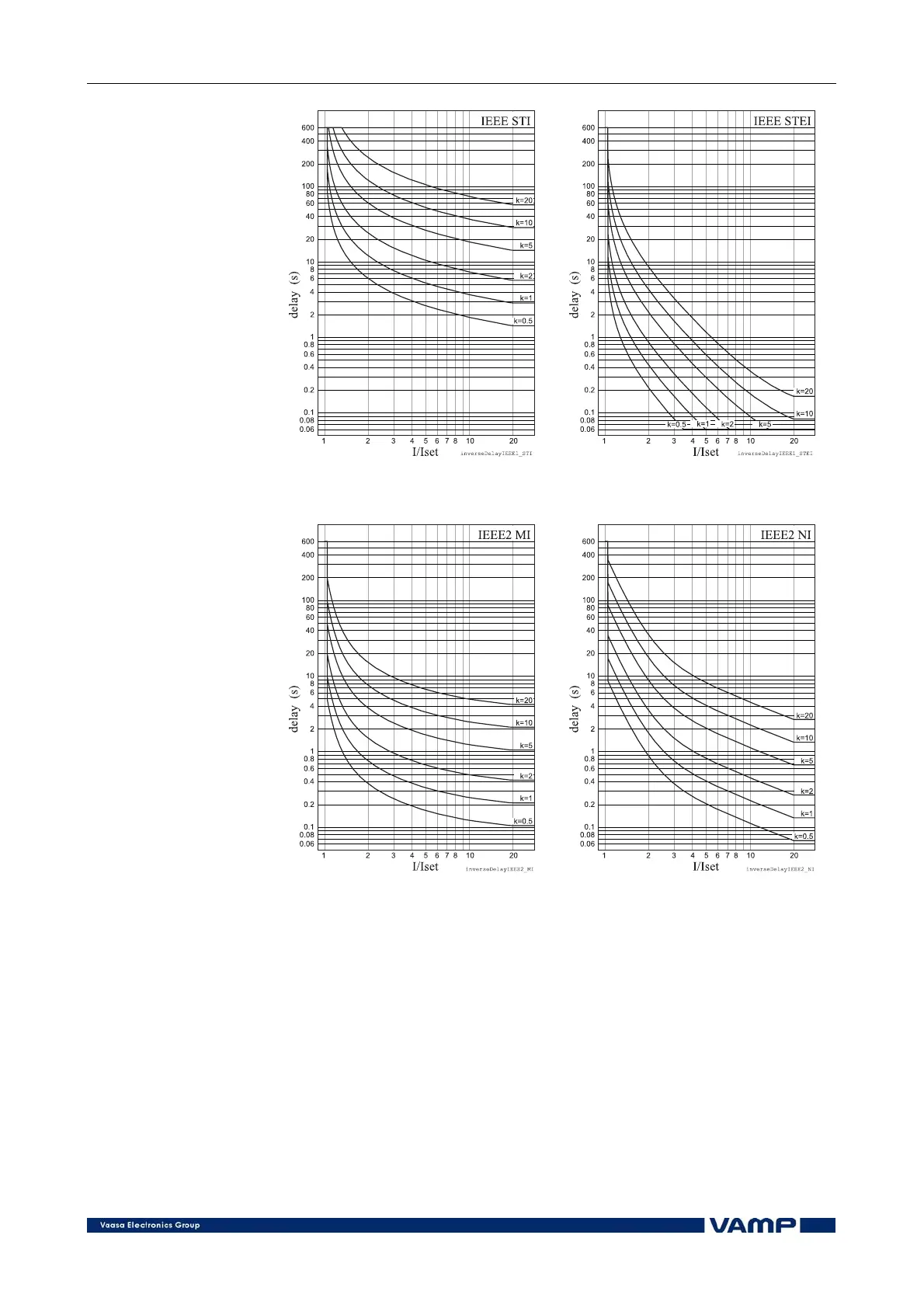
Figure 2.3.1-15 ANSI/IEEE short
time inverse delay
Figure 2.3.1-16 ANSI/IEEE short
time extremely inverse delay
Figure 2.3.1-17 ANSI/IEEE2
moderately inverse delay
Figure 2.3.1-18 ANSI/IEEE2 normal
inverse delay

Table of Contents

Related product manuals