EasyManua.ls Logo

BAS 100B/W - Page 107

Default Icon
144 pages
Print Icon
To Next Page IconTo Next Page
To Next Page IconTo Next Page
To Previous Page IconTo Previous Page
To Previous Page IconTo Previous Page
Loading...
10-39
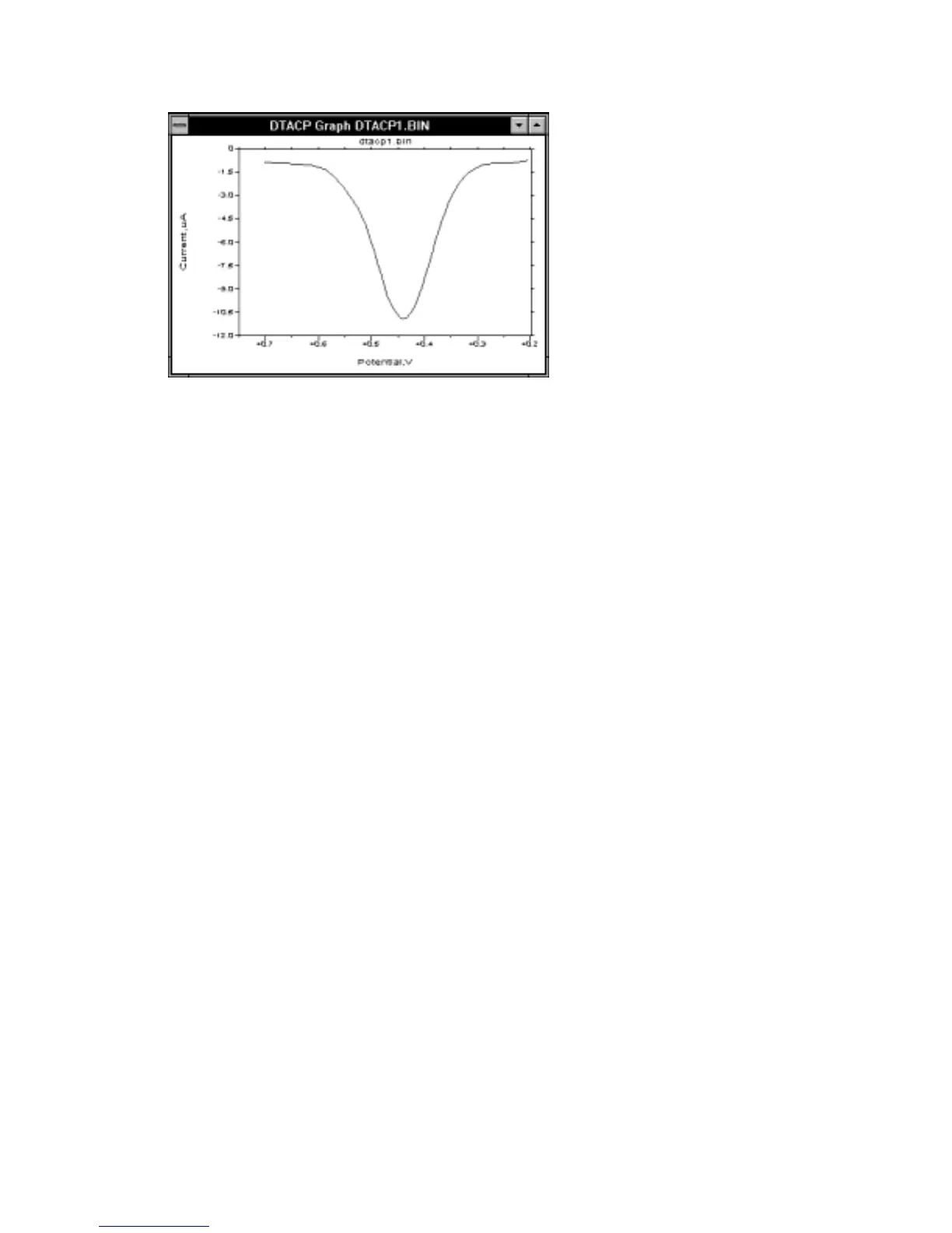
Figure 10-26. A.C. current response for DTACV/P.
General Parameters for TACV/P, DTACV/P
Initial E (mV) = 0 -3276 to 3276
Final E (mV) = 0 -3276 to 3276
Sensitivity = 1
µ
A/V 100 mA/V to 100 nA/V (10 pA/V with the
Low Current Module)
Specific Parameters for TACV/P, DTACV/P
Scan Rate (mV/sec) = 4 1 to 200
A.C. Amplitude (mV) = 25 1 to 50
A.C. Frequency (mV) = 50 5 to 250
Drop Time (msec) = 500 500 to 8000
Quiet Time (sec) = 2 (0) 0 to 65535
Comments
a)
Drop Time
is used for
TACP
and
DTACP
. The range of values allowed for
the
Drop Time
depends on the
A.C. Frequency
. The analogous parameter for
TACV
and
DTACV
is the
Step Period
, which is controlled by the
A.C.
Frequency
(default value is 1500 msec).
b) Parameter values in parentheses refer to
TACP
and
DTACP
.
c) The sample interval is equal to the product of the
Scan Rate
and the
Drop
Time
(or
Step Period
) (e.g., the default value is 6 mV).
Graphics Menu
Single Graph
displays the appropriate current vs. potential plot for all the
techniques.

Table of Contents

Related product manuals