EasyManua.ls Logo

Buderus Logamax plus - Page 84

Buderus Logamax plus
92 pages
Print Icon
To Next Page IconTo Next Page
To Next Page IconTo Next Page
To Previous Page IconTo Previous Page
To Previous Page IconTo Previous Page
Loading...
Technical specifications14
Logamax plus GB162-80 kW/100 kW - Subject to modifications resulting from technical improvements!84
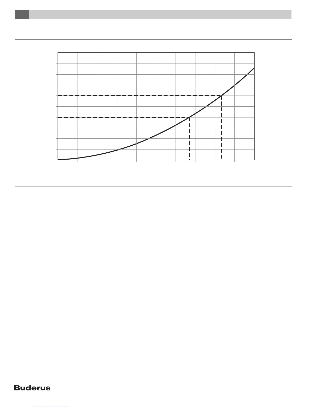
Hydraulic resistance of the boiler
Fig. 99 Boiler resistance curve
7.25
6.53
5.80
5.08
4.35
3.63
2.90
2.18
1.45
0.73
2.2 4.4 6.6 8.8 11.0 13.2 15.4 17.6 19.8 22.0
500 1000 1500 2000 2500 3000 3500 4000 4500 5000
500
450
400
350
300
250
200
150
100
50
0
psi mbar
L/h
GPM
100 kW
80 kW
Volume flow
Pressure drop

Table of Contents

Other manuals for Buderus Logamax plus

Related product manuals