EasyManua.ls Logo

Coviden Force FX - Page 60

Coviden Force FX
268 pages
Print Icon
To Next Page IconTo Next Page
To Next Page IconTo Next Page
To Previous Page IconTo Previous Page
To Previous Page IconTo Previous Page
Loading...
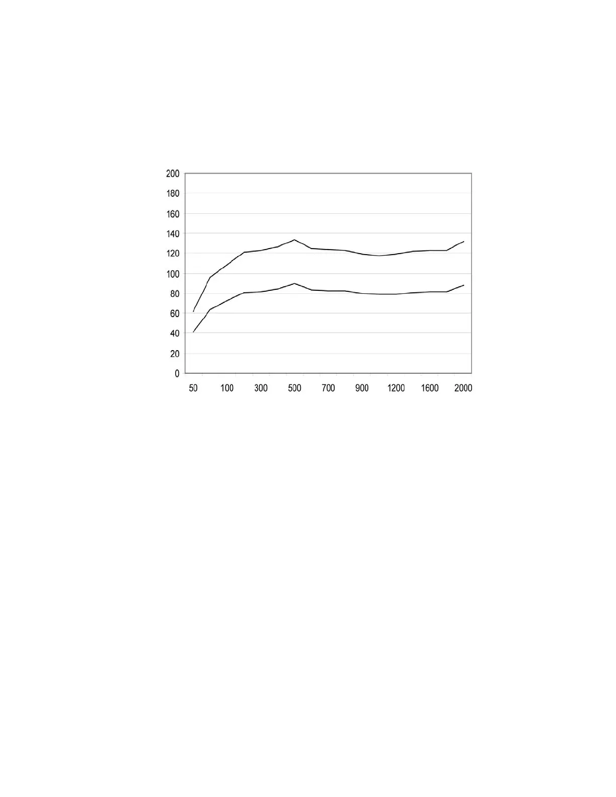
Output Power vs. Resistance Graphs
3-30 Force FX Electrosurgical Generator C Service Manual
Blend Cut Mode
Output power vs. impedance for Blend cut 100W mode
Load Resistance (ohms)
Output Power (watts)

Table of Contents

Related product manuals