EasyManua.ls Logo

Coviden Force FX - Monopolar Coag Graphs

Coviden Force FX
268 pages
Print Icon
To Next Page IconTo Next Page
To Next Page IconTo Next Page
To Previous Page IconTo Previous Page
To Previous Page IconTo Previous Page
Loading...
Output Power vs. Resistance Graphs
Technical Specifications
Force FX Electrosurgical Generator C Service Manual 3-33
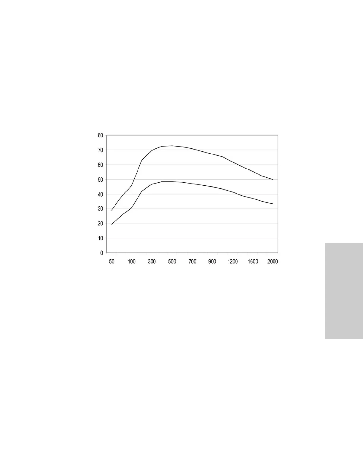
Monopolar Coag Graphs
These measurements were taken using short (< 0.5 meter) leads.
Desiccate Coag Mode
Output power vs. impedance for Desiccate coag 60W mode
Load Resistance (ohms)
Output Power (watts)

Table of Contents

Related product manuals