EasyManua.ls Logo

Crow RUNNER 8/64 - Page 20

Crow RUNNER 8/64
110 pages
Print Icon
To Next Page IconTo Next Page
To Next Page IconTo Next Page
To Previous Page IconTo Previous Page
To Previous Page IconTo Previous Page
Loading...
Page 20
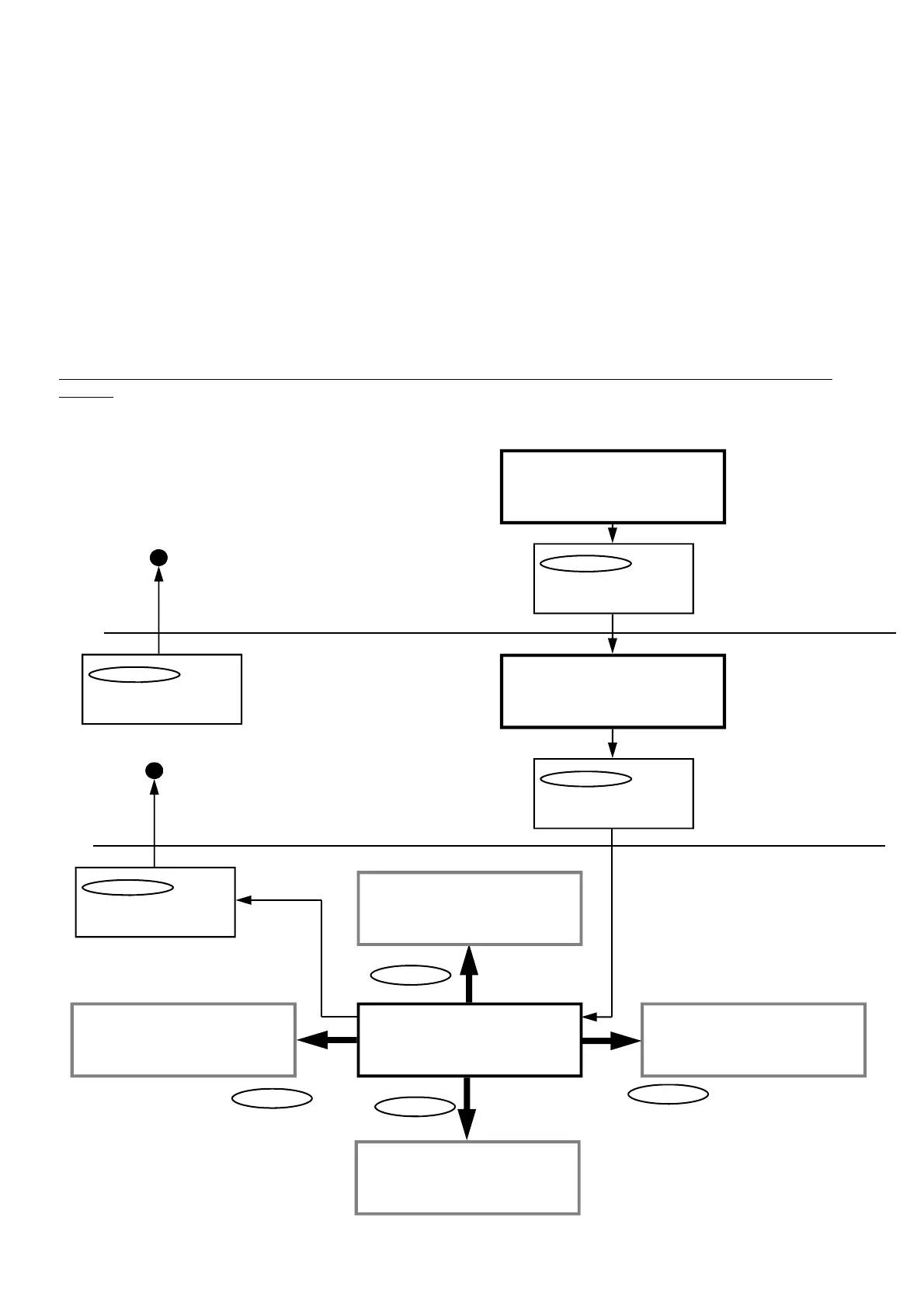
STEPPING BACK THROUGH THE MENUS
If you are in a Menu location, eg the USER Data Entry field, and you wish to step back one stage to the previous
Sub-Menu, you need to press the <PROG> button.
Each time the <PROG> button is pressed the display will step back to the previous stage (remembering where you
were before) until you get back to the Main-Menu.
For example if you were in the KEYPADS Main-Menu, then pressed <ENTER> to get to the AREAS Sub-Menu for
keypads, then pressed <ENTER> again to get to the AREAS Data Entry-Menu for keypads, you could now press
the <PROG> button once and it would take you back to the KEYPADS/AREAS Sub-Menu. Pressing <PROG>
again will take you back to the KEYPADS Main-Menu, and pressing <PROG> one more time will return you back to
the default USERS Main-Menu.
If you get back to the USERS menu and press the <PROG> button once more the display will go to the
program exit menu. If you press <ENTER> when at this point the panel will leave program mode. If you dont wish to
leave program mode you can press the <PROG> button again to return to the USERS menu.
The flowchart below indicates the program menu steps using the ARROW , ENTER & PROG” Buttons on the
keypad.
Ç orÈ Arrows will Cycle
through Main-Menus
MAIN-MENU
SUB-MENU
Ç orÈ Arrows will Cycle
through Sub-Menus
DATA ENTRY-MENU
USER 1 CODE
123 (Data)
USER 2000 CODE
(Data)
USER 2 CODE
(Data)
USER 1 ACCESS OPT
- - - - - - - - (Data)
LEARN RADIO USER 1
-ENTER- TO LEARN
ÇÈÅÆ Arrows can be used in the Data-
Menu fields. See below for details.
PROGRAM Button
Leaves Sub-Menu and
goes back to Main-Menu
PROGRAM Button
Leaves Data-Mode and
goes back to Sub-Menu
USERS (Main-Menu Heading)
_
USERS (Main-Menu Heading)
CODES (Sub-Menu Heading)
ENTER Button
To access Sub-Menu
ENTER Button
To access Data-Menu
Ç Arrow
ÅArrow
È Arrow
Arrow Æ

Related product manuals