EasyManua.ls Logo

D-Link DWL-3500AP - EDCF Control of Data Frames and AIFS; Random Backoff and Contention Windows

D-Link DWL-3500AP
266 pages
Print Icon
To Next Page IconTo Next Page
To Next Page IconTo Next Page
To Previous Page IconTo Previous Page
To Previous Page IconTo Previous Page
Loading...
Software User Manual D-Link Unified Access System
02/15/2011
Document 34CS3000-SWUM104-D10 Page 229
The other phases of the traffic flow (to and from the network) are not under control of the QoS settings on the AP.
EDCF CONTROL OF DATA FRAMES AND AIFS
Data is transmitted over 802.11 wireless networks in frames. A frame consists of a discrete portion of data along with some
descriptive meta-information packaged for transmission on a wireless network.
Each frame includes a source and destination MAC address, a control field with protocol version, frame type, frame
sequence number, frame body (with the actual information to be transmitted) and frame check sequence for error detection.
The 802.11 standard defines various frame types for management and control of the wireless infrastructure, and for data
transmission. 802.11 frame types are (1) management frames, (2) control frames, and (3) data frames. Management and
control frames (which manage and control the availability of the wireless infrastructure) automatically have higher priority for
transmission.
802.11e uses interframe spaces to regulate which frames get access to available channels and to coordinate wait times for
transmission of different types of data.
Management and control frames wait a minimum amount of time for transmission; they wait a short interframe space (SIF).
These wait times are built-in to 802.11 as infrastructure support and are not configurable.
The D-Link Unified Access System supports the Enhanced Distribution Coordination Function (EDCF) as defined by the
802.11e standard. EDCF, which is an enhancement to the DCF standard and is based on CSMA/CA protocol, defines the
interframe space (IFS) between data frames. Data frames wait for an amount of time defined as the arbitration interframe
space (AIFS) before transmitting.
This parameter is configurable.
RANDOM BACKOFF AND CONTENTION WINDOWS
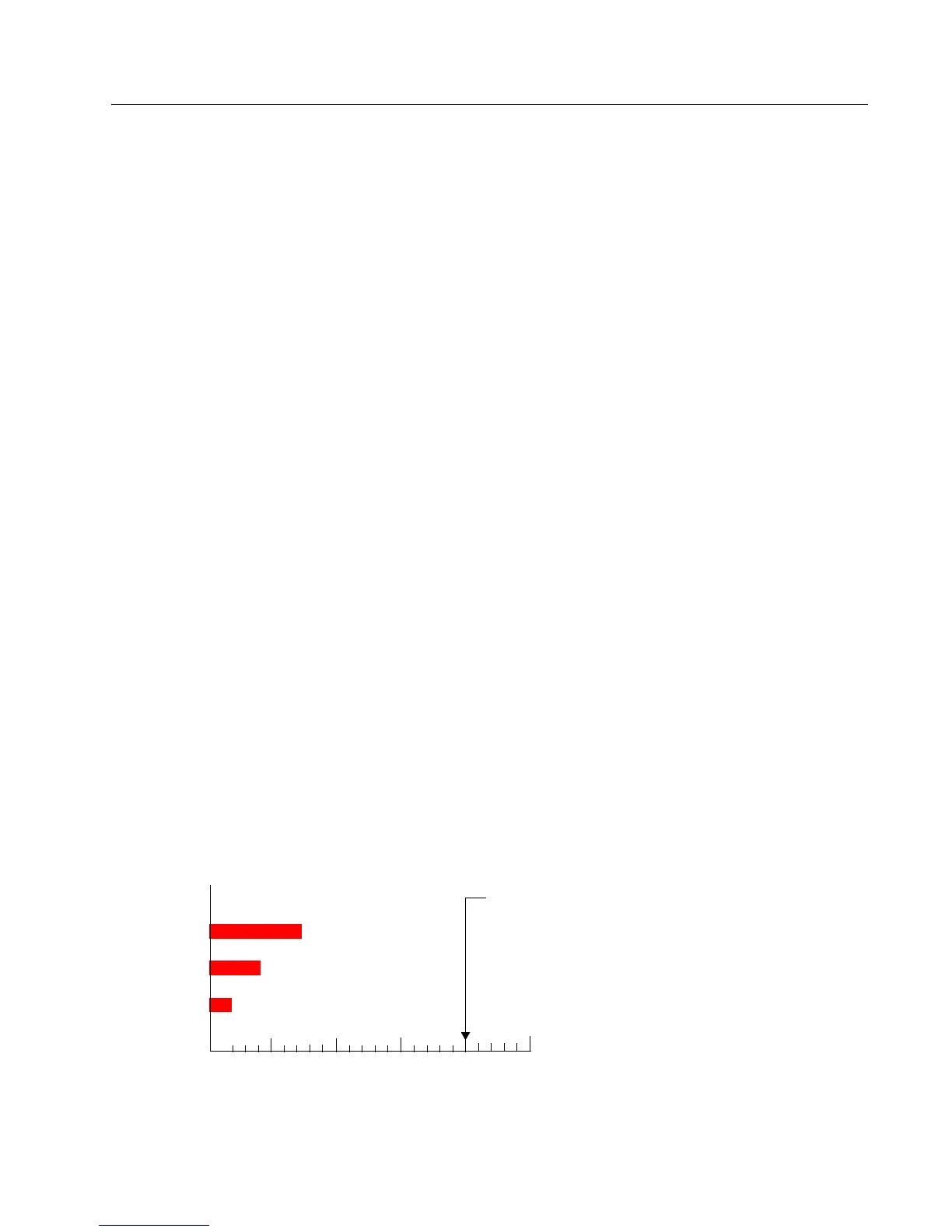
If an access point detects that the medium is in use (busy), it uses the DCF random backoff timer to determine the amount
of time to wait before attempting to access a given channel again. Each access point waits some random period of time
between retries. The wait time (initially a random value within a range specified as the Minimum Contention Window)
increases exponentially up to a specified limit (Maximum Contention Window). The random delay avoids most of the
collisions that would occur if multiple APs got access to the medium at the same time and tried to transmit data
simultaneously. The more active users you have on a network, the more significant the performance gains of the backoff
timer will be in reducing the number of collisions and retransmissions.
1 5 10 15 20
Backoff time
in milliseconds
Backoff
2
= MinCW doubled
Initial Backoff = random number in
Backoff
4
= re-doubled
range of MinCW
25
Doubling continues on each try until MaxCW is reached
at which point this wait time is used on retries
until data is sent or until retries limit is reached

Table of Contents

Other manuals for D-Link DWL-3500AP

Related product manuals