EasyManua.ls Logo

FireClass FC503 - FC500 Repeater Connectivity

FireClass FC503
72 pages
Print Icon
To Next Page IconTo Next Page
To Next Page IconTo Next Page
To Previous Page IconTo Previous Page
To Previous Page IconTo Previous Page
Loading...
27
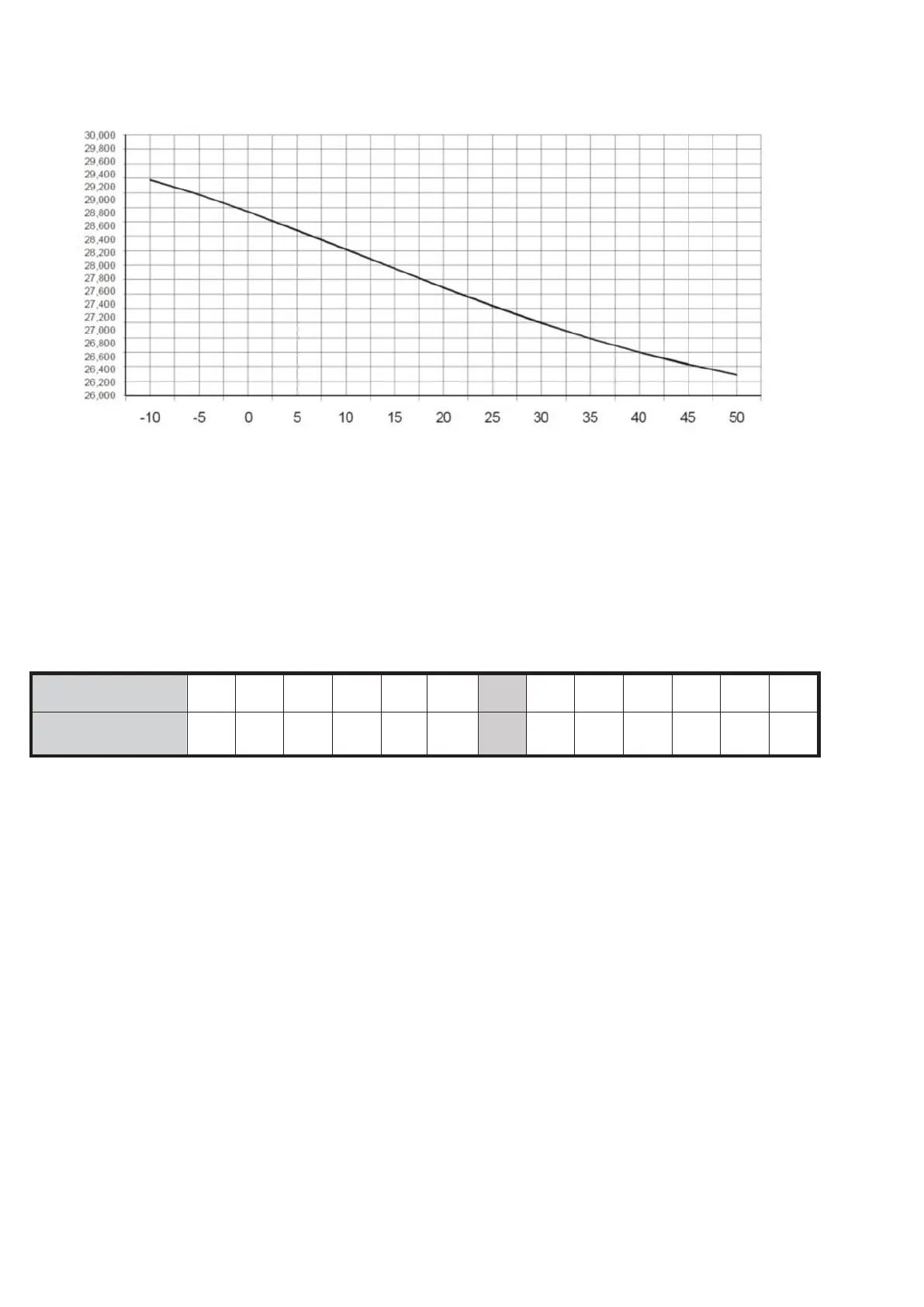
Figure 14: Switching power supply output voltage graph
TEMPERATURE (°C)
Finding the output voltage using the graph
1. Indicate the probe temperature on the TEMPERATURE C) axis.
2. Draw a line from the temperature value point up to the curve a) and draw a line from the intersection point across to the VOLTAGE
(V) axis.
3. Adjust the output voltage of the switching power supply to the resultant value. For example, if the probe temperature is 22°C, the
output voltage of the switching power supply must be set at 27.4 V.
Table 6: Switching power supply output voltage chart
TEMPERATURE (°C)
-10
-5
0
5
10
15
20
25
30
35
40
45
50
VOLTAGE (V)
29.980
28.770
28.537
28.28
3
28.018
27.752
27.489
27.240
27.002
26.788
26.597
26.428
26.282
Finding the output voltage using the chart
1. Select the nearest value to the probe temperature on the TEMPERATURE (°C) row.
2. Read the respective value on the VOLTAGE (V) row.
3. Adjust the output voltage of the switching power supply to the indicated value. For example, if the probe temperature
is 22 °C, the output voltage of the switching power supply must be set at 27.4 V.
VOLTAGE (V)

Table of Contents

Other manuals for FireClass FC503

Related product manuals