EasyManua.ls Logo

InMode Optimas - EMC Safety Compliance

InMode Optimas
92 pages
Print Icon
To Next Page IconTo Next Page
To Next Page IconTo Next Page
To Previous Page IconTo Previous Page
To Previous Page IconTo Previous Page
Loading...
Section 13: System Specifications
81 of 87
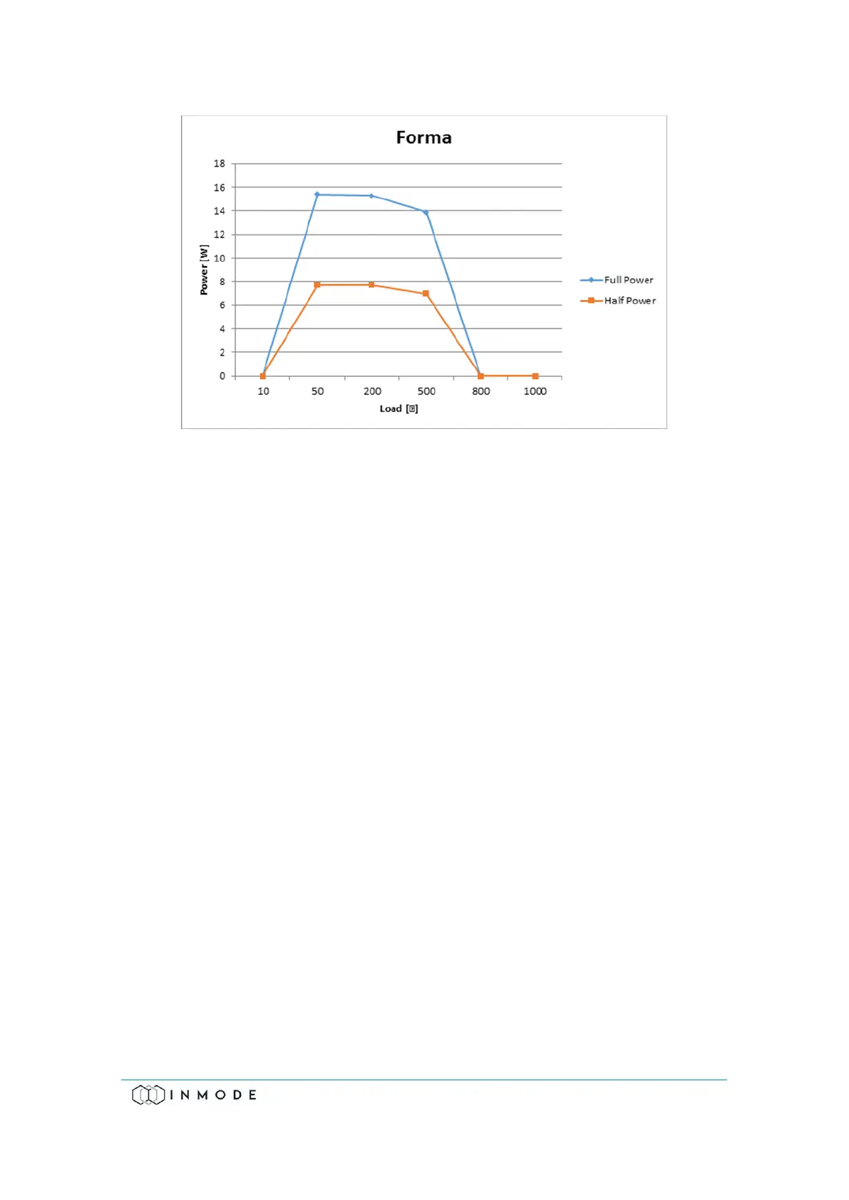
Figure 13-3: Forma Output Power versus Impedance
13.2 EMC Safety
The device has been tested and found to comply with the limits for the medical
devices to the IEC 60601-1-2. These limits are designed to provide reasonable
protection against harmful interference in a typical clinical installation. This device
generates uses and can radiate radio frequency energy. If not installed and used in
accordance with the instructions, may cause harmful interference to other devices in
the vicinity. However, there is no guarantee that the interference to other devices,
which can be determined by turning the device off and on, is caused by this
instrument.
The user is encouraged to try to correct the interference by one or more of the
following measures:
Reorient or relocate the receiving device.
Increase the separation between the devices.
Connect the device into an outlet on a circuit different from that which was
previously used.
Consult InMode service personnel for help.
Interference to the device may be caused by portable and mobile RF communication
equipment. In case of an interruption, beware of such a device in the vicinity.
Use of the System with any accessory, transducer or cable other than those
specified may result in increased EMISSIONS or decreased IMMUNITY than those
specified.

Table of Contents

Related product manuals