EasyManua.ls Logo

KEEWAY ATV300 - Poor Performance at Low;Idle Speeds; Poor Performance at High Speed

KEEWAY ATV300
110 pages
Print Icon
To Next Page IconTo Next Page
To Next Page IconTo Next Page
To Previous Page IconTo Previous Page
To Previous Page IconTo Previous Page
Loading...
108
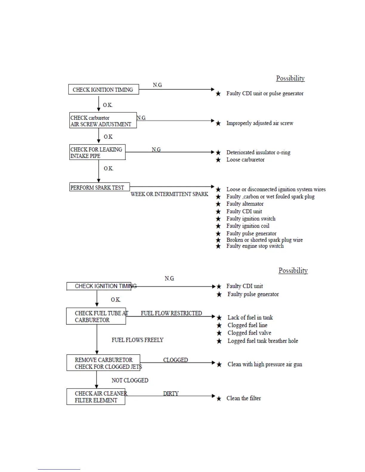
15.2 POOR PERFORMANCE AT LOW AND IDLE SPEEDS
15.3 POOR PERFORMANCE AT HIGH SPEED

Table of Contents

Related product manuals