EasyManua.ls Logo

Koden CVS-841 - Setting Up Alarms

Koden CVS-841
122 pages
Print Icon
To Next Page IconTo Next Page
To Next Page IconTo Next Page
To Previous Page IconTo Previous Page
To Previous Page IconTo Previous Page
Loading...
Chapter 5 CVS-841/851
Basic Operation
5.9 Setting the Alarm Function
There are two alarms available, the Depth Alarm and Fish Alarm.
5.9.1 Depth alarm
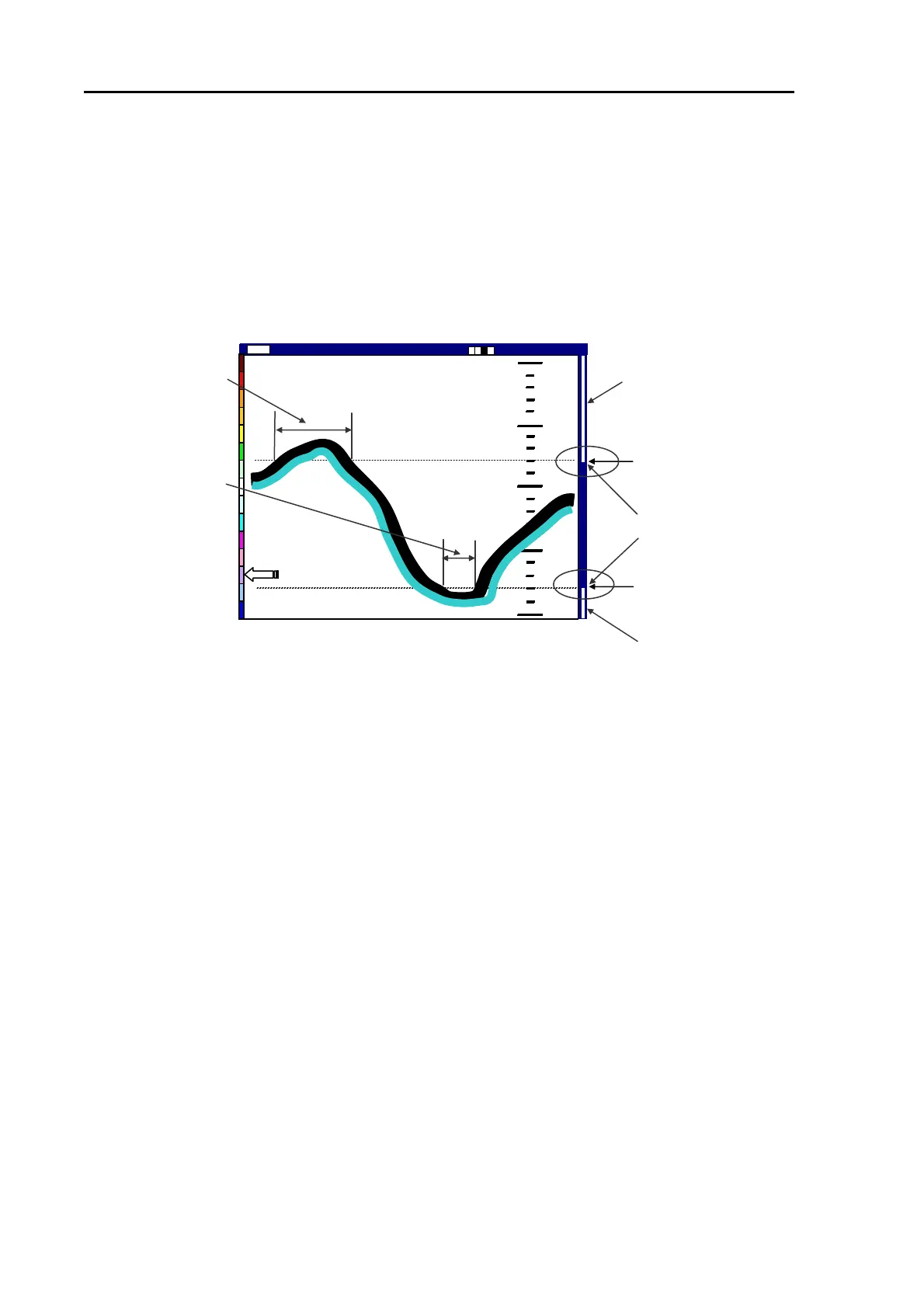
The Depth alarm is activated when the sea bottom becomes shallower or deeper than a preset depth
range. Refer to Figure 5.29 for detail. Pressing any key on the operation panel silences the alarm.
The alarm sounds
when the sea bottom
becomes shallower
than 80 and stops
when it becomes
deeper.
To use this function:
(1) Press the ALARM key. A pop-up window appears on the screen.
(2) Press the up or down key to select DEPTH ALARM.
(3) Press the right arrow key to enter the depth alarm setting menu and then press the down arrow
key to set the depth alarm ON. Now you need to set upper and lower limit of the fish alarm.
Perform the following procedure in order:
Setting the Upper Alarm
(1) Press the right arrow key to select Upper Alarm.
(2) Press further the right arrow key to show an alarm range window.
(3) Press the up or down arrow key to set the alarm depth (80 for example). The upper end of the
Depth Alarm bar will be set to 80.
H
2001/05/23 WED
14:22
画面送り
:56
SHIFT
0000
Upper depth alarm being set
to 80.
Lower depth alarm being
set to 180.
0
50
200
100
Upper and lower
thresholds of the depth
alarm
Depth alarm bar (red)
Depth alarm bar (red)
High
14:22:56
Image Speed 1/1
2001/05/23(Wed)
Shift
000 0
The alarm sounds
when the sea
bottom becomes
deeper than 180
and stops when it
becomes shallower.
150
Image feed tiondirec
Figure 5.28 Depth Alarm display
5-20 93132682-00

Table of Contents

Related product manuals