EasyManua.ls Logo

Lenze EVF9324 - Edsvf9333 V en 3.0-06;2005; Selection of the Control Mode

Lenze EVF9324
459 pages
Print Icon
To Next Page IconTo Next Page
To Next Page IconTo Next Page
To Previous Page IconTo Previous Page
To Previous Page IconTo Previous Page
Loading...
Commissioning
Selection of the control mode
6
6.2
6.2-1
EDSVF9333V EN 3.0-06/2005
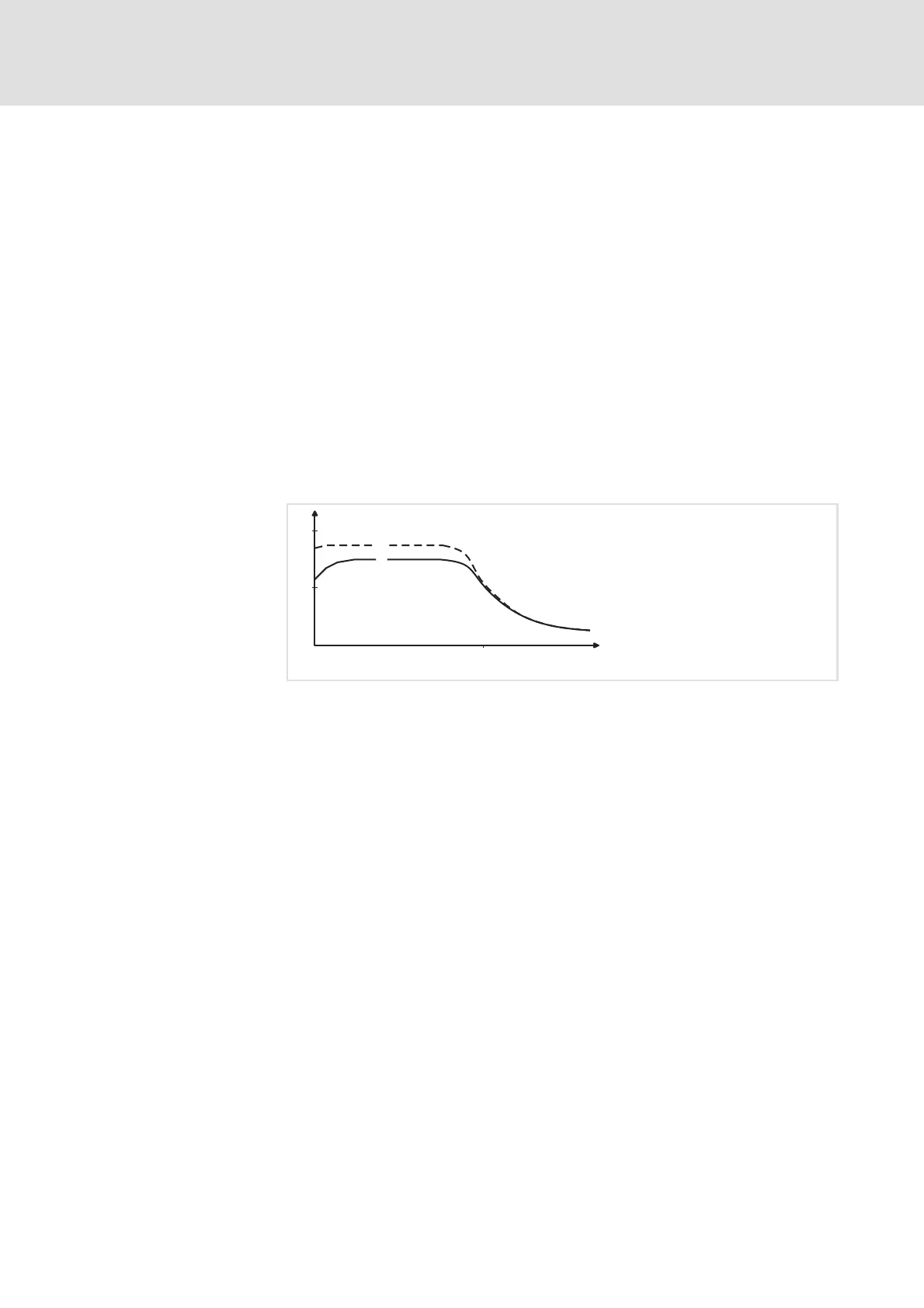
6.2 Selection of the control mode
The control mode of the controller can be selected via the operating mode.
You can select between the following modes:
ƒ V/f characteristic control
ƒ Vector control
The V/f characteristic control is the classic operating mode for standard
applications.
When using the vector control you will achieve improved drive features
compared to the V/f characteristic control due to:
ƒHighertorqueviathecompletespeedrange
ƒ Higher speed accuracy and higher concentricity factor
ƒ Higher efficiency
M
nn
N
M
N
8200vec524
Fig. 6.2-1 Comparison of V/f characteristic control and vector control
c
V/f characteristic control
d
Vector control
Description
Selection of the correct
operating mode

Table of Contents

Related product manuals