EasyManua.ls Logo

Nortel 7400 - Page 124

Nortel 7400
550 pages
Print Icon
To Next Page IconTo Next Page
To Next Page IconTo Next Page
To Previous Page IconTo Previous Page
To Previous Page IconTo Previous Page
Loading...
124 Chapter 19 Cooling unit replacement
NN10600-175 6.1S2
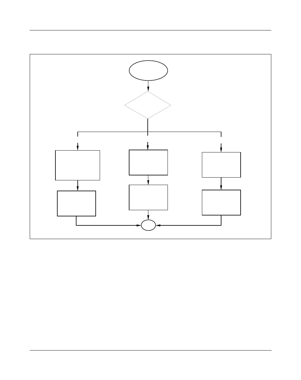
Figure 32
Cooling unit replacement task flow
Task flow navigation
The following references are listed alphabetically:
“Installing a cooling unit into a Multiservice Switch 7440” (page 256)
“Installing a cooling unit into a Multiservice Switch 7460” (page 257)
“Installing a cooling unit into a Multiservice Switch 7480” (page 260)
“Removing the cooling unit from a Multiservice Switch 7440”
(page 455)
“Removing the cooling unit from a Multiservice Switch 7480”
(page 461)
Multiservice Switch 7480
Multiservice Switch 7440
Multiservice Switch 7460
Cooling unit
replacement
Which
switch?
Removing the
cooling unit from a
Multiservice Switch
7440
Installing a cooling
unit into a
Multiservice
Switch 7440
Removing the
cooling unit from
a Multiservice
Switch 7480
Installing a cooling
unit into a
Multiservice
Switch 7480
End
Removing the
cooling unit from
a Multiservice
Switch 7460
Installing a cooling
unit into a
Multiservice
Switch 7460
For procedure page
numbers, see
Task flow navigation
below
PP_TASK_1016

Table of Contents

Related product manuals