EasyManua.ls Logo

Nortel 7400 - Page 27

Nortel 7400
550 pages
Print Icon
To Next Page IconTo Next Page
To Next Page IconTo Next Page
To Previous Page IconTo Previous Page
To Previous Page IconTo Previous Page
Loading...
About this document 27
Multiservice Switch 7400 Hardware Installation, Maintenance, and Upgrade 6.1S2
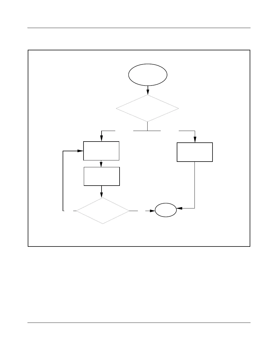
Figure 1
Sample task flow
Task flow navigation
cross-reference to Procedure A
cross reference to Procedure B
Procedure C. See <name and number of another NTP>
PP_TASK_1000.ins
No
Choice A Choice B
Yes
Title of Task
Procedure A
Decision
Make a choice
Procedure B
(optional)
Decision
Yes or No
END
Procedure C

Table of Contents

Related product manuals