EasyManua.ls Logo

Nortel 7400 - Page 53

Nortel 7400
550 pages
Print Icon
To Next Page IconTo Next Page
To Next Page IconTo Next Page
To Previous Page IconTo Previous Page
To Previous Page IconTo Previous Page
Loading...
Chapter 4 Multiservice Switch 7440 replacement 53
Multiservice Switch 7400 Hardware Installation, Maintenance, and Upgrade 6.1S2
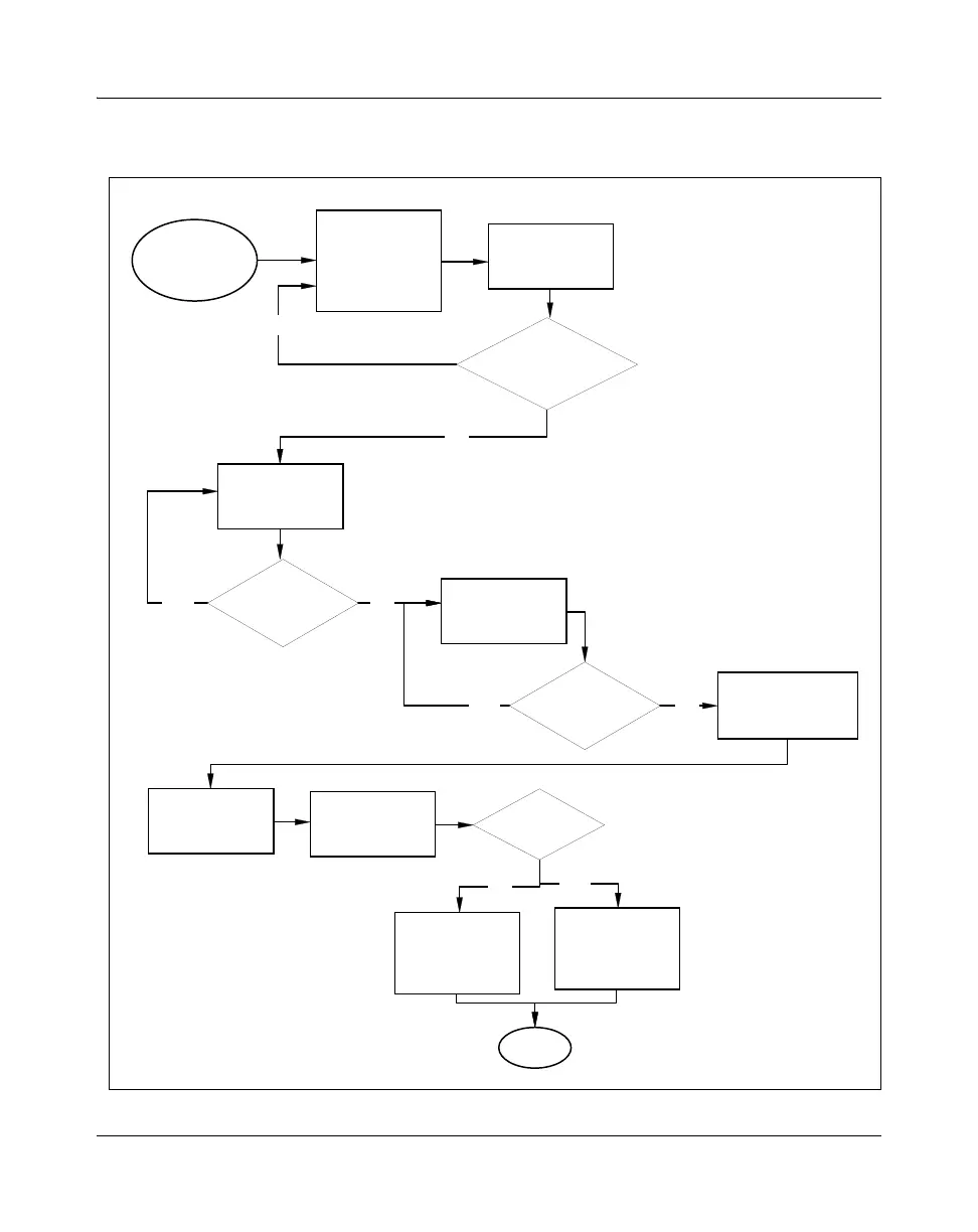
Figure 7
Multiservice Switch 7440 replacement task flow: part 1
Yes
Yes
Yes
No
No
No
Yes
No
Multiservice
Switch 7440
replacement
Remove
another FP?
Removing an FP
Removing a
control processor
Remove
another CP?
Removing the
power supply
from a
Multiservice
Switch 7440
Remove
another power
supply?
Removing a
Multiservice
Switch 7440
Removing
power cables
Removing a
termination panel
(if necessary)
Unpacking a
Multiservice
Switch 7440
Floor
mount?
Installing a floor-
mounted
Multiservice
Switch 7440
Installing a
Multiservice
Switch 7440 into a
rack or cabinet
A
PP_TASK_1025

Table of Contents

Related product manuals