EasyManua.ls Logo

Nortel 7400 - Page 90

Nortel 7400
550 pages
Print Icon
To Next Page IconTo Next Page
To Next Page IconTo Next Page
To Previous Page IconTo Previous Page
To Previous Page IconTo Previous Page
Loading...
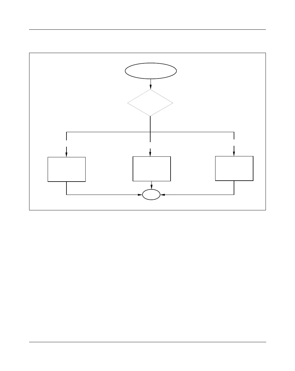
90 Chapter 9 Air filter replacement
NN10600-175 6.1S2
Figure 22
Air filter replacement task flow
Task flow navigation
The following references are listed alphabetically:
“Replacing the air filter in a Multiservice Switch 7440” (page 484)
“Replacing the air filter in a Multiservice Switch 7460” (page 489)
“Replacing the air filter in a Multiservice Switch 7480” (page 493)
Multiservice Switch 7440
Multiservice Switch 7480
Multiservice Switch 7460
Air filter
replacement
Which
switch?
Replacing the air
filter in a
Multiservice
Switch 7440
Replacing the air
filter in a
Multiservice
Switch 7480
End
Replacing the air
filter in a
Multiservice
Switch 7460
For procedure page
numbers, see
Task flow navigation
below
PP_TASK_1001

Table of Contents

Related product manuals